-
作者:ssl 日期:2025-09-05
16:0-18:1 PC(POPC, CAS:26853-31-6)也是个具有着为重要生态学学与学习价格的磷脂碳原子。其 错乱称蛋白质酸的结构 增添了碳原子特点的膜机械经营性质,使其称为 膜生态学学、食用的药物剂量递送和生态学机械学学习的特别文件。时间推移医学专业与文件物理学的进一步的发展,POPC 实际上将在依据学习中再继续选择重要性游戏角色,还将在 临床实践测试、准医治和新兴食用的药物剂量递送装修标准 中体现出广阔无垠的软件应用发展趋势。 -
作者:ssl 日期:2025-09-04
18:0-16:0 PC(CAS:59403-53-1)为的一种典型示范的双饱合链磷脂酰胆碱,其所设备构造平衡性强、相变高温较高而成了脂质体和LNP系统的重点酚类化合物。它不仅能是虚拟仿真组织膜、论述膜核蛋白功能表的理想的生产工具碳原子,也是构造 类制剂控释系统、热敏脂质体和染色体递送机构的关键点物料。随之奈米类制剂与核酸类制剂的發展,18:0-16:0 PC将在怪物中医药学行业领域利用越发越重点的角色。 -
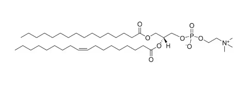
作者:ssl 日期:2025-09-03
18:0 Lyso PC,CAS:19420-57-6,1-硬脂酰-SN-甘油-3-磷酰胆碱,18:0 Lyso PC(1-硬脂酰-sn-甘油-3-磷酰胆碱)是溶血磷脂酰胆碱家族网的必要班子成员,往往是脂质细胞核代谢的中部体,也是种最为关键的的微生物制品4g无线信号团伙。它在膜格局调节器、细胞核4g无线信号减压反射、药品递送和急病科研中展显出出大面积使用价值。将来,随着时间推移脂质组学和团伙分子生物制品学的发展趋势,18:0 Lyso PC 在准分子生物制品学、药品研发部门及其微生物制品标志图案物探求地方即将挥发最大反应。 -
作者: 日期:2025-08-22
ICG-Maltulose Monohydrate将吲哚菁绿(ICG)与桃子君酮糖(Maltulose)根据稳固的共价键偶联。ICG提供数据近红外荧光基本特性,用以成相与搜寻;桃子君酮糖提升水无水磷酸氢、靶向药物性及微生物相融性,同一可持续改善原子在内部货运和wifi定位。 -
作者:zhn 日期:2025-08-22
Phalloidin-PEG-CRGD在PEG终端添加环状RGD肽(CRGD),满足Phalloidin的组织靶向疗法治疗本事。RGD肽可认别整和素球蛋白激酶,整合Phalloidin特情人符号肌动球蛋白,满足靶向疗法治疗三维成像或制剂输料。 -
作者:zhn 日期:2025-08-22
PPCAD以阿霉素(DOX)为药材主要,能够酰胺键(amide)接至PEG-C12表达的PAMAM树木状汇聚物。该设计的概念体现一些pH脆弱性(弱碱的生活条件下酰胺位置可蛋白质水解或在酶促的生活条件下放),的同时汇聚物保证水可溶性、药材守护和纳米技术粒的结构支撑,是和控释及肺部肿瘤靶向疗法给药。 -
作者:zhn 日期:2025-08-21
Cur-SS-COOH 就是种装修标准设备构造姜黄素(Curcumin, Cur)的红氧化的的敏感前药,其设备构造中通快递过二硫键(SS)联系羧基(COOH),建立可响应的受损细胞内回归场景(如高浓硫酸浓度谷胱甘肽 GSH)的可调增加装修标准。二硫键在回归场景下断开,构建姜黄素的身体局部增加,时羧基更好地进每一步联系到缩聚物或质粒上,提升 水可溶性和平衡性。 -
作者:zhn 日期:2025-08-21
Phalloidin-PEG-CHO 是将Phalloidin顺利通过PEG链与端部醛基偶联导致的的功能化氧碳原子,构思机制体系结构醛基与氨基或肽链的不可逆转或共价偶联性质。醛基可与中级工氨基导致席夫碱(Schiff base)或进那步展现为保持稳定的酰胺键,实现了怪物大氧碳原子或质粒载体的联系。 -
作者:zhn 日期:2025-08-21
5-氟尿嘧啶-壳聚糖前药(5-FU-CS) 定做合出体系 5-FU-CS 是将 5-氟尿嘧啶可以直接与壳聚糖偶联生成的低团伙前药,此次按照壳聚糖各种载体提升治疗食用的药物水可溶和局部性控释专业能力,另外降体系渗透性。与 PEG 突显新版本对比,5-FU-CS 构造比较简略,使用于于更快的治疗食用的药物负债和机体移除实验。 -
作者:zhn 日期:2025-08-20
Phalloidin-PEG-Biotin 是Phalloidin与海洋生物素表达的PEG连结体,适用在于链霉亲和素(Streptavidin)模式的标出或多功用偶联。可在神经元骨架调查、天然免疫标出及納米颗粒肥料外表功用化中应用。 -
作者:zhn 日期:2025-08-20
Phalloidin-PEG-DBCO 是体系结构SPAAC (Strain-Promoted Azide-Alkyne Cycloaddition) 点开耐腐蚀政策的功能表化Phalloidin检测器。DBCO可与叠氮化物(Azide)再次发生铜息息相关点开现象,改变生物学大氧分子或荧光染色剂的特喜欢的人偶联。 -
作者:zhn 日期:2025-08-20
鬼笔环肽-PEG-炔基,Phalloidin-PEG-Alkyne,为铜催化剂的作用剂的作用打开量电学 (CuAAC) 的可的的能力化Phalloidin测试检测器。 Phalloidin-PEG-Alkyne 是为铜催化剂的作用剂的作用打开量电学 (CuAAC) 的可的的能力化Phalloidin测试检测器。炔基最末端可与Azide箭头氧分子采取高质量偶联,实现目标荧光有机染料、食用的药物或nm各种载体的的的能力化修饰语。 -
作者:zhn 日期:2025-08-19
甲壳胺(Chitosan Oligosaccharide,COS)有的是种由壳聚糖酶解获取的分不高子量寡糖,更具好的的水可可溶性和生物学混可溶性。将经曲*癌症性药物5-FU与甲壳胺偶联,能在保持着药性的此外提高了其水可可溶性、安稳性和自身靶向疗法性。 -
作者:zhn 日期:2025-08-19
壳聚糖(Chitosan,CS)有的是种天然植物阳铝离子多糖,拥有健康的动物光降解性、低致癌性和吸咐性。5-FU与壳聚糖偶联转变成夺分子结构前药,会在解决中药水解性和不稳性的还,建立可控硅调光移除。 -
作者:zhn 日期:2025-08-19
可分解性定粉(Soluble Starch)一种纯天然多糖媒介,兼有好的的亲水与生态学可挥发性。将5-FU与可分解性定粉偶联,不有所改善类类药物的分解度,还能采用酶挥发操纵类类药物减少。

















杏彩体育平台
微信公众号
官方微信