杏彩体育平台

您当前所在位置:杏彩体育平台 > 资讯信息 > 新品上市
荧光素FITC标记棉籽糖,FITC-D-Raffinose的应用以及相关产品
发布时间:2022-04-13     作者:zyl   分享到:
FITC标出棉籽糖,FITC-D-Raffinose

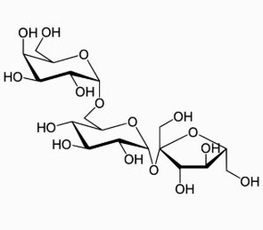
棉子糖(Raffinose)是自然而然界中***的其中一种三糖,由半乳糖、绵白糖和匍萄糖紧密结合而成,它也被称作蜜三糖(melitriose)、蜜里三糖,是其中一种兼有不强增值双歧杆菌角色的交叉性性低聚糖棉子糖可溶水水,微溶水乙酸乙酯等化学性质相转移催化剂,不溶水油品醚等非化学性质相转移催化剂 。20℃时河中溶水度为14%,且随温提高溶水度**减少,80℃时,不低于绵白糖的溶水度。

中文字幕各称:棉子糖

外语名:Raffinose

CAS号: 2140-29-6

原子核式: C18H32O16

团伙量: 504.4371

金属机身环境:固态物或粉沫

质理要求:95%+

可溶性高,溶于水的要求:无机石油醚/水

储藏条件:-20℃阴凉存放

永久保存精力:半年

运输配送状态:常温2周

分娩总部:深圳杏彩体育平台 海洋生物社会不足总部



棉子糖

想关新产品:



FITC箭头聚二糖
FITC图标浅海氢氧化钠多糖
FITC图标昆布多糖
FITC标出芽霉糖
荧光FITC标上珠露醇|FITC-Mannitol
FITC标示乳糖
FITC标识单乙酰氨基半乳糖
FITC标签蜜二糖
FITC标示乳糖
FITC标注水苏四糖


仅用做用做科技研究,不可能用做人体组织试验检测(zyl 2022.04.13)