杏彩体育平台

您当前所在位置:杏彩体育平台 > 资讯信息 > 新品上市
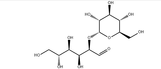
荧光素FITC标记曲二糖,FITC-Kojibiose的应用以及相关产品 分子式:C12H22O11
发布时间:2022-04-13     作者:zyl   分享到:


荧光素FITC标志曲二糖,FITC-Kojibiose

常常简称:曲二糖 Kojibiose

CAS 号:2140-29-6

原子核式:C12H22O11

分子式量:342.3

溶点: 174.5℃

凝固点 :783.7±60.0 °C(Predicted)

相对密度 :1.68±0.1 g/cm3(Predicted)

FITC-Kojibiose

外观专利方式:胶体或粉末状原材料

水平要求:95%+

析出要求:生产稀释剂/水

放置经济条件:-20℃阴凉存储

存贮用时:2年

运载经济条件:在常温2周

产生工厂:山东杏彩体育平台 生物制品科技有限责任平台有限责任平台

对应品牌:

FITC标出棉籽糖|FITC-D-Raffinose
FITC图标聚二糖
FITC标上深海浓盐酸多糖
FITC标记符号昆布多糖
FITC标注芽细菌糖
荧光FITC标记符号甘霖醇|FITC-Mannitol
FITC标志白砂糖
FITC箭头单乙酰氨基半乳糖
FITC标注蜜二糖
FITC标志乳糖

仅用做用做科研项目,难以用做人休耐压试验(zyl 2022.04.13)