杏彩体育平台

您当前所在位置:杏彩体育平台 > 资讯信息 > 新品上市
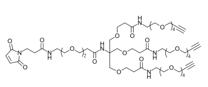
Mal-PEG2-tris-PEG4-alkyne PEG是经环氧乙烷聚合而成的,相对分子量在200~8000或者8000以上的乙二醇高聚物,其由重复的氧乙烯基组成
发布时间:2022-04-13     作者:ysl   分享到:
Mal-PEG2-tris-PEG4-alkyne产品设备介简:PEG是经环氧树脂乙烷缩聚而成的,相比较氧原子核框架量在200~8000和8000上文的乙二醇高聚物,其由抄袭的氧氯乙烯基组合而成,并不是享有更好的水可溶性,可不可以溶解于DCM、DMF、苯、乙腈和酒精等有机酸石油醚。PEG有3个终端羟基,享有直线的(相比较氧原子核框架效率为5000~30000)或支化的(相比较氧原子核框架效率为40000~60000)链状框架,直线PEG的氧原子核框架式为H-(O-CH2-CH2)n-OH。经常使用的PEG有PEG200、PEG300、PEG400、PEG600、PEG1000、PEG2000、PEG4000、PEG6000、PEG10000等,环境温度下相比较氧原子核框架量为200~600的PEG是液态体,相比较氧原子核框架量为1000及上文者是无水硫酸铜。分子结构式:C60H98N6O24大分子量:1287.44

产地:西安
纯度:99%
用途:仅用于科研
温馨提示:仅用于科研,不能用于人体实验!

微信截图_20220413152548.png

相关车辆Aminooxy-amido-PEG4-alkynePTAD-PEG4-alkyneAlkyne-PEG4-SS-PEG4-alkyneAmino-PEG4-bis-PEG4-alkyneAlkyne-PEG13-NHSAlkyne-PEG3-NHS CAS:1428629-71-3Alkyne-PEG5-NHS CAS:1393330-40-9Alkyne-PEG4-NHS CAS:1428629-70-2Aminooxy-PEG7-azideAPN-PEG4-azideAzido-PEG12-NHS CAS:1108750-59-9Amino-PEG4-bis-PEG3-azideAzido-PEG4-NHS CAS:944251-24-5Azido-PEG8-NHS CAS:1204834-00-3Azido-PEG2-NHS CAS:1312309-64-0Azido-PEG3-NHS CAS:1245718-89-1Azido-PEG3-PFP CAS:1807530-07-9Azido-PEG3-PFP CAS:1807530-07-9Thiol-PEG3-azide CAS:1347750-79-1Amino-PEG6-bis-PEG5-azideAldehyde-PEG4-bis-PEG3-azideAzido-PEG3-SS-NHSAzido-PEG3-thioacetate CAS:1310827-26-9

以上内容类产品仅使用在科研管理,没有使用在人体健康实验性(ysl2022.4.13