杏彩体育平台

您当前所在位置:杏彩体育平台 > 资讯信息 > 新品上市
荧光素FITC标记海藻糖,FITC-Trehalose,海藻糖是双糖中稳定的一类
发布时间:2022-04-13     作者:zyl   分享到:


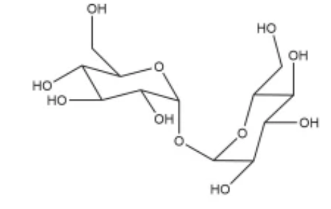
水藻糖又称为为漏芦糖、蕈糖,是由2个冬枣糖原子组建的一种非保存性双糖。结构的式为α-D-吡喃葡糖基~α-D-吡喃葡糖苷,一般以二水氧化物都存在,原子式为C12H22O11·2H2O。

藻类糖是天*双糖中防护稳定的的其一。考虑到不具备恢复性,对热和腐蚀性都具备异常好的防护稳定的性。在与蛋白酶质、蛋白酶质偏铝酸根时,虽然温度过高不会会形成美拉德反应迟钝,可以使用于除理须温度过高或温度过高包存的食品加工、饮品等。藻类糖打开女性身体内部直肠中被藻类糖酶转换为3分子红提葡萄糖粉,必将被女性身体的新陈消化吸收所借助,就是种注重的卡路里来源于,对女性身体防护防护有益于。

中文版名 :水藻糖

外文文献名 :D-Trehalose anhydrous 

电化学方程式 :C12H22O11

 分子式量 :378.33 

D-Trehalose anhydrous

CAS微信登陆号: 99-20-7

熔    点: 214 ℃

 沸    点 :397.76 ℃ 

水阴离子型: 68.9g/100g水(25℃)

密    度:1.512 g/cm³ 

外形形态:液态或咖啡豆

效果指標:95%+

消融能力:有机肥料石油醚/水

永久保存图片生活条件:-20℃背光保存图片

存储时候:一年

运输管理状况:常温2周

生产方式商家:西安市杏彩体育平台 生物技术科持是有限的公司

仅用到用到科技,不是用到人们试验报告(zyl 2022.04.13)