杏彩体育平台

您当前所在位置:杏彩体育平台 > 资讯信息 > 新品上市
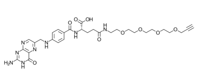
Folate-PEG4-alkyne可以制备成在PH6.5响应的纳米胶束材料 炔基在胶束外层可以用于偶连多肽或其他小分子
发布时间:2022-04-13     作者:ysl   分享到:
Folate-PEG4-alkyne新产品描写:PEG-Alkyne 聚乙二醇-炔基 PAE原子量*0K PEG5K 就能够制作成在PH6.5积极响应的微米胶束板材 炔基在胶束表层就能够适用于偶连多肽或许多小原子碳原子式:C30H38N8O9原子量:654.67性 状 :黄白色或微橙黄色粉末注射剂保存图片能力:-20℃

用  途:仅供科研实验使用,不用于诊治
外  观:粘稠液体或者固体粉末,取决于分子量
注意事项 取用一定要干燥,避免频繁的溶解和冻干

纯度:>90%
产地:西安
温馨提示:仅用于科研,不能用于人体实验!

Folate-PEG4-alkyne

有关成品Alkyne-PEG4-OTsAlkyne-PEG4-SSPyAminooxy-amido-PEG4-alkynePTAD-PEG4-alkyneAlkyne-PEG4-SS-PEG4-alkyneAmino-PEG4-bis-PEG4-alkyneAlkyne-PEG13-NHSAlkyne-PEG3-NHS CAS:1428629-71-3Alkyne-PEG5-NHS CAS:1393330-40-9Alkyne-PEG4-NHS CAS:1428629-70-2Aminooxy-PEG7-azideAPN-PEG4-azideAzido-PEG12-NHS CAS:1108750-59-9Amino-PEG4-bis-PEG3-azideAzido-PEG4-NHS CAS:944251-24-5Azido-PEG8-NHS CAS:1204834-00-3Azido-PEG2-NHS CAS:1312309-64-0Azido-PEG3-NHS CAS:1245718-89-1

以下货品仅用以科技创新,无法用以人身体试验(ysl2022.4.13