杏彩体育平台

您当前所在位置:杏彩体育平台 > 资讯信息 > 新品上市
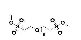
二甲磺酸酯聚乙二醇 MsO-PEG-OMs 甲磺酸酯PEG甲磺酸酯
发布时间:2023-10-30     作者:zyl   分享到:

MsO-PEG-OMs 是一种高分子化合物,其化学结构由甲磺酸酯基团与聚乙二醇链段组成。这种化合物的分子式为R-O-CH2-CH2-O-CH2-CH2-O-CH2-CH2-O-R,其中R表示甲磺酸酯基团。

甲磺酸酯聚乙二醇甲磺酸酯的分子量分布取决于其制备方法和聚合度。它具有良好的水溶性和生物相容性,广泛应用于药物传递系统和生物医学工程中。

品牌英文名称:二甲磺酸酯聚乙二醇  甲磺酸酯PEG甲磺酸酯英文音标各称: MsO-PEG-OMs原子核量:1k,2k,3.4k,5k,10k,20k(可按需订制)高质量抑制:95%+物料消减因子PDI:≤1.05存储空间经济条件:-20°C,背光,避湿用  途:未经许可科研项目调查的使用,只用于诊疗看: 物质或黏力溶液,取决于氧分子量要注意相关事宜:拿取一些 要干燥处理,禁止的频繁的消融和冻干融掉性:混溶大环节有机质乙酸丁酯,如:DCM、DMF、DMSO、THF……。在水有有效的融掉性涉及到设备:丹磺酰胺PEG丹磺酰胺氯化橡胶漆漆乙烷PEG氯化橡胶漆漆乙烷戊二酸PEG戊二酸戊二酸酰胺PEG戊二酸酰胺双戊二酸酰胺蜜腊酰酯PEG甲基水性聚氨酯酯PEG甲基水性聚氨酯酯甲磺酸酯PEG甲磺酸酯双硝基苯基碳酸酯PEG氨基乙酰胺PE氨基乙酰胺聚乳酸PEG聚乳酸丁二酸-聚乙二醇-丁二酸丁二酸酰胺-聚乙二醇-丁二酸酰胺琥铂酰亚胺乙酸酯PEG琥铂酰亚胺乙酸酯二虎珀酰亚胺戊二酸酯聚乙二醇双N-蜜腊酰亚胺丙酸酯PEG