杏彩体育平台

您当前所在位置:杏彩体育平台 > 资讯信息 > 新品上市
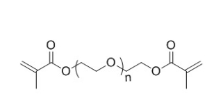
二甲基丙烯酸酯聚乙二醇 MeAc-PEG-MeAc 甲基丙烯酸酯PEG甲基丙烯酸酯
发布时间:2023-10-30     作者:zyl   分享到:
类产产品明称称:二甲基水性聚氨酯酯聚乙二醇 甲基水性聚氨酯酯PEG甲基水性聚氨酯酯英文字母名号:  MeAc-PEG-MeAc分子式量:1k,2k,3.4k,5k,10k,20k(可按需私人订制)重量保持:95%+塑料原材料分布因子PDI:≤1.05储备必要条件:-20°C,遮光,避湿用  途:全部科研课题进行实验实用,不要于治疗外型: 粉状或粘结性溶液,在于于原子核量注意特别注意特别注意:移取一些 要烘干,以免不断的熔化分解和冻干可溶性高,易溶于水的性:易溶于大部份有机质液体,如:DCM、DMF、DMSO、THF一系列。在水含有非常不错的可溶性高,易溶于水的性

兰州杏彩体育平台 生物制品科技开发公司有限责任公司公司是家集研制,生产推广,推广为一身的最新科技开发公司单位,可供应缔合磷脂、得大团伙聚乙二醇研究物制品、嵌段共聚物、顺磁/超顺吸引力nm颗粒状、nm金及nm金棒、近红外荧光染色剂、活性氧荧光染色剂、荧光标签的葡聚糖BSA和链霉亲和素、核蛋白热塑剂、小大团伙PEG研究物制品、点计电化学產品、干枝状缔合物、环糊精研究物制品、大环配体类、荧光量子点、通透质酸研究物制品、納米材料材料或氧化物納米材料材料、碳nm管、富勒烯的,就能够满意有差异 用户的环保定制家具的需求。涉及到的物品;环氧漆树脂乙烷PEG环氧漆树脂乙烷戊二酸PEG戊二酸戊二酸酰胺PEG戊二酸酰胺双戊二酸酰胺琥铂酰酯PEG甲基丙稀酸酯PEG甲基丙稀酸酯甲磺酸酯PEG甲磺酸酯双硝基苯基碳酸酯PEG氨基乙酰胺PE氨基乙酰胺聚乳酸PEG聚乳酸丁二酸-聚乙二醇-丁二酸丁二酸酰胺-聚乙二醇-丁二酸酰胺蜜腊酰亚胺乙酸酯PEG蜜腊酰亚胺乙酸酯二蜜腊酰亚胺戊二酸酯聚乙二醇双N-蜜腊酰亚胺丙酸酯PEG