杏彩体育平台

您当前所在位置:杏彩体育平台 > 资讯信息 > 新品上市
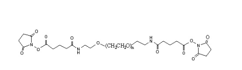
二戊二酸酰胺琥珀酰酯聚乙二醇 GAS-PEG-GAS   双戊二酸酰胺琥珀酰酯PEG
发布时间:2023-10-30     作者:zyl   分享到:
企业产产品各称:二戊二酸酰胺蜜腊酰酯聚乙二醇 双戊二酸酰胺蜜腊酰酯PEG英语名稱: GAS-PEG-GAS  分子式量:1k,2k,3.4k,5k,10k,20k(可按需自定义)重量操控:95%+主要原料吸附指数PDI:≤1.05保存水平:-20°C,闭光,避湿用  途:未经许可科技科学试验运用,要用于医治外观专利: 固态垃圾或沾性介质,决定于于原子量注意力项目:拿取必然要干,以防一直的溶解出来和冻干水解性:混溶大那部分有机物液体,如:DCM、DMF、DMSO、THF性功能下降。在水中含特好的水解性

渭南杏彩体育平台 生物学科技产业发展建筑有限公司英文公司是家集研制,工作,经销商为一身的高新产业发展企业公司,可出示合出磷脂、抓氧原子核聚乙二醇ip产业物学、嵌段共聚物、顺磁/超顺吸引力納米颗粒状、納米金及納米金棒、近红外荧光生物染剂、生物荧光生物染剂、荧光标上的葡聚糖BSA和链霉亲和素、血清热塑剂、小氧原子核PEGip产业物学、点计电学新产品、树根状聚合反应物、环糊精ip产业物学、大环配体类、荧光量子点、透明图片质酸ip产业物学、石墨稀或防氧化石墨稀、碳納米管、富勒烯等方面,可能充分考虑差异合作方的订制具体需求。涉及到商品:氯化橡胶漆乙烷PEG氯化橡胶漆乙烷戊二酸PEG戊二酸戊二酸酰胺PEG戊二酸酰胺双戊二酸酰胺虎珀酰酯PEG甲基水性聚氨酯酯PEG甲基水性聚氨酯酯甲磺酸酯PEG甲磺酸酯双硝基苯基碳酸酯PEG氨基乙酰胺PE氨基乙酰胺聚乳酸PEG聚乳酸丁二酸-聚乙二醇-丁二酸丁二酸酰胺-聚乙二醇-丁二酸酰胺蜜腊酰亚胺乙酸酯PEG蜜腊酰亚胺乙酸酯二虎珀酰亚胺戊二酸酯聚乙二醇双N-蜜腊酰亚胺丙酸酯PEG对甲苯磺酸酯PEG对甲苯磺酸酯