杏彩体育平台

您当前所在位置:杏彩体育平台 > 资讯信息 > 新品上市
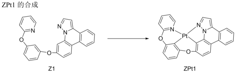
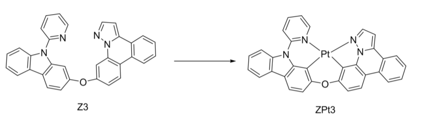
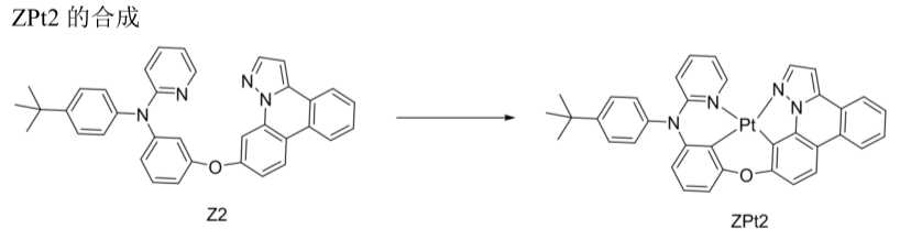
三个Pt(Ⅱ)配合物:以Pt(N^C^C^N)为配位方式的四齿配合物ZPt1,ZPt2和ZPt3的设计与合成路线
发布时间:2022-01-12     作者:zhn   分享到:
搭建新颖动态平衡、**的发光字原用料,再规划与之对应好的各功能模块层原用料(主体性原用料、带电粒子释放及传送原用料甚至探针原用料等)是现今OLED原用料研发部门整个过程中的长用工作思路。

科研人员设计合成了以Pt(N^C^C^N)为配位方式的四齿配合物ZPt1,ZPt2和ZPt3

image.png

image.png

image.png

采用在团伙中转化刚度和强度吡唑并[1,5-f]菲啶基团,多个做好物物料都含有最好的热稳定的性(均远超440℃)和较高的量子劳动生产率(ZPt1:0.70;ZPt2:0.24;ZPt3:0.34)。

image.png

其它,各种的基元左右确认醚键接触也产生了良好的调结放光光谱仪的效用。

基于配合物ZPt1,ZPt2和ZPt3的OLED在蓝色至黄绿色的光谱区表现出强烈的电致发光。

由于这四个Pt(Ⅱ)积极配合物的OLED电子元元公率电子元器件都有了较高的电子元元公率电子元器件有速率。进来ZPt1的电子元元公率电子元器件有速率**,其**工作电压有速率(CE),公率有速率(PE)和EQE主要为58.0 cd A~(-1),51.6 lm W~(-1)和16.4%,互相电子元元公率电子元器件的来工作电压大于3.8 V。值得一看一提的是,任何材质均行为 出了比较好的光谱图仪固定量分析,各不相同工作电压高密度下的电致变色光谱图仪最基本坚持不同。

image.png

咸阳杏彩体育平台 动物科技品牌较少品牌带来金属制做好物,热更改密码卡顿荧光(TADF)产品,汇聚诱惑卡顿荧光(AIDF)产品,汇聚诱惑放光AIE产品的高端定制转化成红光/近红外释放的邻羟基苯乙酮具象化物3-[4-(dimethylamino)phenyl]-1-(2-hydroxyphenyl)-2-propen-1-one(L1)1-(2-hydroxyphenyl)-3-[4-(1-pyrrolidinyl)phenyl]-2-propen-1-one(L2)3-[4-(diphenylamino)phenyl]-1-(2-hydroxyphenyl)-2-propen-1-one(L3)荧光电极probe 4(2-[3-[4-(pyrrolidin-1-yl)phenyl]acryloyl]phenyl acrylate)橙红光热启用迟缓荧光物料,为3,6,11三(9,9二甲基吖啶10(9H)基)二苯并[a,c]吩嗪(3DMACBP)D-A型发亮碳原子QLPXZ和QLmDPA兼备二聚组成部分的DQLtBCz,DQLAC和DQLPZX兼顾HLCT和聚在一起促进变色(AIE)不确定性的红光类化合物NZ2AC新技术D-π-A-π-D空间结构的近红外带光原子NZ2TPA,具备HLCT和AIE作用近红外无机化合物NZ2mDPA  兼备很多有光功能的设计物含N-螺芴形式的二聚有机化合物:NSF-SF和NSF-NSF双极结构性有机化合物:SOBPDPA和SOmBPDPA极具TADF性能参数的荧光素诞生物DCF-MPYM光敏剂两例体现了TADF安全性能的荧光测试探针DCF-N1和DCF-N2包括区别抗衡缴费基数作用TTM-1ID和TTM-2ID都具有各不相同转变缴费基数效果开壳随心所欲基大分子TTM-2Bi和TTM-3BiN-([[1,1'-联苯]-2-基]-N-(9,9-二甲基-9H-芴-2-基)-9,9'-螺二[芴]-4-胺(FSF4A)2,4,6-三[3-(二苯基膦氧基)苯基]-1,3,5-三唑(PO-T2T)o-CzTHZ:4CzPNMCP、DPEPO、o-CzTHZ、m-CzTHZ、p-CzTHZ、SPA-TXO2

image.png

溫馨显示系统:仅适用做研究,不允许适用做人體實驗!的小编zhn2022.01.12