杏彩体育平台

您当前所在位置:杏彩体育平台 > 资讯信息 > 新品上市
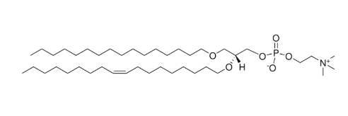
16:0-18:1 Diether PC,CAS:65268-57-7,PC磷脂酰胆碱的功能特征
发布时间:2025-09-05     作者:ssl   分享到:

16:0-18:1 Diether PC,CAS:65268-57-7

16:0-18:1 Diether PC 是一种功能化磷脂酰胆碱(PC)衍生物,属于二醚型磷脂。其分子由甘油骨架、磷酸胆碱头基及两条脂肪醚链组成:一条为16:0饱和脂肪醚链,另一条为18:1不饱和脂肪醚链。与典型的酯型磷脂不同,二醚型磷脂中脂肪酸通过醚键而非酯键与甘油骨架连接,这赋予分子出色的化学稳定性、*水解性和耐氧化性,使其在端条件下仍能保持膜结构稳定,广泛应用于膜生物学研究、脂质体制备及药物递送系统。


一、分子结构与功能特征

16:0-18:1 Diether PC 的体系化结构设计还有甘油骨架、三条蛋白质多醚链包括磷酸胆碱头基。甘油的5个羟基按照醚键与16:0达到饱和状态蛋白质多醚链和18:1不达到饱和状态蛋白质多醚链联接,第二个羟基按照磷酸酯与胆碱头基相结合。该设备构造的优点和缺点分为:醚键相对稳定性处理:醚键比酯键更耐油脂水解和阳极氧化,在高温天气、强酸强酸或强酸條件下仍要保持团伙详细数据完整性。膜动态平衡性:16:0是处于饱和状态点链带来了膜刚需和板材的厚度,而18:1不是处于饱和状态点链的顺式双键新增膜分子运动性和柔软性。两亲性:胆碱头基带来亲丙烯酸乳液树脂,脂肪多醚链带来疏丙烯酸乳液树脂,使大分子可自組裝构成安全的脂质膜或脂质体。二醚构成并不是明显增强了膜的稳固性,还可以模拟机先天醚脂质(如溶藻菌和古菌中的磷脂),在膜生物工程学设计中给出特色模形。


二、理化性质

外表与力学状况16:0-18:1 Diether PC 一般 为小白至淡黄色无水硫酸铜或颗粒,结晶体性更好。室温下化学式增强高朝,可长久的店铺。溶解度性该碳原子在设计高沸点溶剂(如氯仿、二氯甲烷气体、乙醚)中溶解性性好的。在水相中,碳原子会依据自组装流水线组成单碳原子层、脂质加厚或脂质体小粒。与酯型PC不同于,二醚PC在水相中特征出更低的蛋白质水解率和更长的膜稳明确性。膜性质16:0链给予膜料厚和线条平稳,18:1链加大膜进出性。二醚型接入使膜在持续高温、端pH或氧化反应环保下仍能实现进出性和完整的性,是科研端必要条件下膜微物理学的理想型整治。耐腐蚀平衡性醚键*水解反应和*氧化的优点使该原子型式在水相或无机相中情况出高安稳性。纵使在长的时间间隔儲存或较高温度测试先决条件下,原子型式型式仍常规始终维持完整的,缩短分解生成物对测试的电磁干扰。网络与性因素磷酸胆碱头基保证强势的性用户界面,可与水氧分子结构和化合物造成氢键和静电能用处,另外蛋白质醚链的疏水性树脂提高认识氧分子结构在膜内造成不稳的疏水核心思想。双键位址(18:1链的顺式双键)不断增加小面积的变形,改善膜的微观经济出入性。

16:0-18:1 Diether PC,CAS:65268-57-7,PC磷脂酰胆碱 

三、合成路线

16:0-18:1 Diether PC 的组成主耍也包括人体脂肪醚链注入、甘油骨架醚化及磷酸胆碱头基进行连接两个步聚:皮下脂肪醚链合成视频工业原料:16:0和18:1乳酸醇反应迟钝:实现脱水烘干或亲核醇化与甘油繁衍物构成醚键纯化:柱层析或高效液相色谱彻底清除未体现底物甘油骨架醚化甘油羟基与脂肪酸醇症状转换二醚组成部分先决条件:强酸强碱或催化氧化剂辅助软件,以确定高选取性和醚键保持稳界定纯化:高效液相色谱或柱层析消除副物质磷酸胆碱头基连结将甘油二醚与胆碱磷酸产生物症状组成磷酸酯键状态:温润巧妙乙酸丁酯采集体系中确定磷过酸纯化:HPLC 或柱层析获得了高纯净度终产物


四、表征方法

核磁震动(NMR)1H-NMR 和 13C-NMR 适用要确认甘油骨架、脂肪酸醚链及磷酸胆碱空间结构不饱和状态双键在物理位移上呈结构特征电磁波,可印证18:1链的顺式构型质谱(MS)确判断大分子量,确认二醚架构及脂肪细胞链形成红外光谱仪(IR)测试醚键特色吸收能力峰、磷酸酯噪声峰及不饱和链的C=C无线信号优质色谱仪色谱(HPLC)或薄层色谱(TLC)使用于监控视频表现施工进度及色度深入分析


五、应用价值

膜微生命科学探究16:0-18:1 Diether PC 可以用在于创造出一个稳定性高膜绘图,研究分析膜进出性、脂质筏出现及膜蛋清添加现象。二醚结构的供给耐淀粉水解和耐钝化特征,是模拟网端区域膜系统的很理想工具软件。脂质体与肿瘤药物递送该团伙可自拆卸导致脂质体,在含酸性、钝化或炎热能力下仍维持膜相对稳界定,符合封装形式敏感度肿瘤药物、淀粉酶质或核酸,完成内部相对平衡递送和控释。膜蛋清功能表学习作实体模型膜有效成分,二醚PC快速可用于探索脂质环保对膜淀粉酶形式和系统的引响,为膜淀粉酶翻折、置于及4g信号转导展示 参考选取。端情况实践与动物摸拟16:0-18:1 Diether PC 的物理化学安全性使其比较适合摸拟古菌或耐端的条件生态学的膜性能,使用设计耐较高温度、强酸强碱或空气氧化周围环境下的膜扭测力。


六、总结

16:0-18:1 Diether PC 是一种具有二醚结构的功能化磷脂,其核心由甘油骨架、两条脂肪醚链及磷酸胆碱头基组成。16:0饱和链提供膜厚度和刚性,18:1不饱和链调节膜流动性,醚键赋予分子优异的化学稳定性和*氧化性。合成路线包括脂肪醚链引入、甘油骨架醚化及磷酸胆碱头基连接,终产物通过 NMR、MS、IR 和 HPLC 表征。16:0-18:1 Diether PC 在膜生物学、脂质体制备、药物递送及膜蛋白研究中具有重要应用,是基础研究和药物研发的重要工具分子。

兰州杏彩体育平台 微生物供给许多种 PC(磷脂酰胆碱) 与 PE(磷脂酰工业乙醇胺),主要来源能信、纯度不高,尽管是使用于 脂质体整合、膜整治设计,或者 药剂递送与用途化奈米颗粒肥料配制,都能供给安全的稳定性保障机制。产品的链长、饱和点度和表达型号,让研发人数可基于科学实验室各种需求灵敏决定,随意安装提高效率科学实验室软件。设备厂家:兰州杏彩体育平台 海洋生物科学技术信息有局限装修公司种类:科技动态:液态/粉尘/液体產地:绵阳和睦提示信息:仅限科研项目,无法使用于身休检测!相关的服务:18:0 azidoethyl PC,CAS:2342574-09-618:0 (9,10dibromo) PC,CAS:217075-01-916:0-18:0(4,5-二溴) PC,CAS:105464-30-016:0-18:0 (11-12BR) PC,CAS:324054-54-816:0-18:0 (6-7BR) PC,CAS:324054-50-416:0-18:0 (9-10BR) PC,CAS:324054-52-6