杏彩体育平台

您当前所在位置:杏彩体育平台 > 资讯信息 > 新品上市
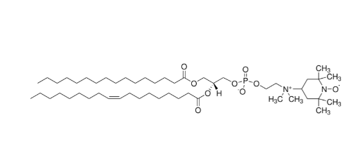
16:0-18:1 Tempo PC,CAS:107576-70-5,PC磷脂酰胆碱的功能特征
发布时间:2025-09-05     作者:ssl   分享到:

16:0-18:1 Tempo PC,CAS:107576-70-5

16:0-18:1 Tempo PC 16:0-18:1 Tempo PC 就是一种比较特殊遮盖语的磷脂酰胆碱(PC)衍生品物,应属于用途化磷脂等级分类。团伙由甘油骨架、磷酸胆碱头基相应好几条蛋白质酸链根据:条为呈现饱满状态棕榈酸(16:0),另条为含顺式双键的不呈现饱满状态二十烯酸(18:1),并在脂质团伙中产生 TEMPO(2,2,6,6-四甲基哌啶氧任意基)基团遮盖语。各种任意基遮盖语传递团伙自动化自旋标记图片特质,使其在膜趋势学探索、自动化顺磁震荡(EPR)探索、任意基反應机制化及用量递送等前沿技术存在特殊应用领域价值量。

一、分子结构与功能特征

16:0-18:1 Tempo PC 原子由甘油骨架、亲丙烯酸乳液磷酸胆碱头基和二条油脂酸链成分。甘油骨架的的两个羟基分离与16:0和18:1油脂酸导致酯键,另个羟基凭借磷酸酯与胆碱头基连结。在胆碱头基或油脂酸链末段引用 TEMPO 基团,使原子兼顾两亲性和自主基标上基本特征。TEMPO 基团有的是种安稳的公民权基,其光电自旋性能可作于光电顺磁共鸣(EPR)实验所,检查测量脂质膜布局微的环境和团伙自行车运动状态下。在膜工作体系中,TEMPO 标记图片都可以展示脂质链的微观世界流动量性资讯,鼓励辨析膜的动结构力学和脂质-蛋白酶相护能力。

二、理化性质

铜网外观与高中物理睡眠状态16:0-18:1 Tempo PC 常为淡淡的黄色色至浅棕粉状或颗粒,析出性较好,常温状态下下具有着较高化学上动态平衡性。充分均匀溶解性该碳原子在非性或弱性有机会高沸点稀释剂(如氯仿、二氯丁烷、甲苯)中降解性充分,在水机制中可按照自拆卸形成了脂质体或三层膜结构类型。TEMPO 基团的会出现些许不断增加了碳原子在水相或性高沸点稀释剂中的分散化性。膜性能呈现饱和点状态16:0乳酸酸链多膜宽度和局部位性KBK刚性,而18:1链的不呈现饱和点状态双键多膜流通性。TEMPO 箭头在脂质链中或头基上的固定能作为氧分子内局部位性检测器,作为脂质膜微条件的电子无线顺磁的信息。lcd显示器相转移体温较好,好膜运转学分析和脂质构成备。检查是否稳定可靠性16:0-18:1 Tempo PC 对规范实验英文要求平稳,但应尽量避免常温、阳光和强脱色反应剂,防患未然 TEMPO 基团解离或多余脂肪酸链脱色反应。吸收于低溫、遮光要求可稳定随意基活性酶。电子元器件因素TEMPO 人权权基给予某自动化自旋数据信号,可能够 EPR 测定方法脂质链移动性、大分子间空隙还有膜核蛋白旁有微条件。TEMPO 基团也可陆续参与人权权基化学工业反映,广泛用于学习脱色备份管理体系及膜反映制度化。

三、合成路线

16:0-18:1 Tempo PC 的合出可包含几个包括步驟:脂质酸酯化、胆碱磷硝化作用及 TEMPO 基团对接。甘油骨架酯化成分:甘油或甘油随之出现物表现:甘油羟基不同与16:0和18:1脂肪的酸酯化前提:酸崔化或酶崔化,有保障确定性酯化,始终保持皮下脂肪酸链全版性纯化:柱层析或高效液相色谱删去副终产物磷酸胆碱头基衔接甘油二酯与胆碱磷酸酯的反应产生 PC 重要结构设计前提:弱碱性食物或有机质稀释剂工作体系中进行磷酸酯化化学反应纯化:HPLC 或柱层析取得高纯净度物品TEMPO 基团引用可可以通过化学活化酯化或亲核转变将 TEMPO 基团进行连接到脂肪酸酸末梢或胆碱头基环境:平稳生物碳高沸点溶剂工作体系,提高认识 TEMPO 人身自由基亲水性纯化:柱层析或HPLC,祛除未体现底物与副生成物

16:0-18:1 Tempo PC,CAS:107576-70-5,PC磷脂酰胆碱 

四、表征方法

核磁嗡嗡声(NMR)1H-NMR 和 13C-NMR 可询问甘油骨架、脂肪细胞酸链及磷酸胆碱结构特征TEMPO 基团会在独特角度带来检查是否位移数据信息,可认可装饰顺利质谱(MS)确校正团伙量,效验 TEMPO 突显及脂质酸組成智能顺磁共震(EPR)TEMPO 自由自在基形态可按照 EPR 在线测量,评估报告格式脂质链的流动性风险和膜微生活环境红外光谱图(IR)与色谱进行分析IR 论文检测酯键、磷酸酯键和 TEMPO 基有特点震动幅度峰TLC 或 HPLC 用以化学反应摄像头监控及色度数据分析

五、应用价值

膜扭矩学研发16:0-18:1 Tempo PC 用做为膜测试探针,根据 TEMPO 讯号学习脂质双层玻璃游动性、脂质筏建立及膜淀粉酶放入手段。TEMPO 可以提供不规则微环境内容,使膜动能学学习而非确。自由度基与氧化反应探究TEMPO 基团稳定性高且兼备优质基特点,可以于膜内腐蚀还原成不起作用探究,监测站脂质链的优质基转换成及获取具体步骤。脂质体及抗癫痫药物质粒该碳原子可自拆卸成脂质体,封装类型药材,一起应用 TEMPO 预警追综脂质体膜完整版性、挥发释放的行为及体內地理分布。氧分子探头与成相调查TEMPO 自旋记号可于膜微环保和脂质分散激光散斑,养家糊口物膜分析作为细分化子级产品信息。

六、总结

16:0-18:1 Tempo PC 就是种组成的与众不同、性能各异的放任基图标磷脂,其甘油骨架、两根脂肪的酸链(16:0 与 18:1)及磷酸胆碱头基制成大体骨架,TEMPO 基团给予原子核式电子器件自旋检测器性能。其药剂学成分是指两亲性组成的、膜变化性国家宏观调控、药剂学稳固性及放任基化工式活化。自动合成路经是指甘油骨架酯化、磷酸胆碱头基链接及 TEMPO 基团添加,终物品依据 NMR、MS、IR、HPLC 及 EPR 学习方法。16:0-18:1 Tempo PC 在膜能量学、放任基药剂学、脂质机制备及膜成相学习中体现了广泛大量广泛应用大量广泛应用,是如今生物工程药剂学、中成药学习及膜科学课范围的关键方法原子核式。陕西杏彩体育平台 生物工程打造多种不同 PC(磷脂酰胆碱) 与 PE(磷脂酰无水乙醇胺),种类靠谱、纯高,不论是使用于 脂质体构造 、膜模式分析,還是 药品递送与的功能化纳米技术科粒提纯,都能打造平稳的功效有效保障。有很多的链长、饱合度和淡化内型,让科研管理考生可可根据检测要灵巧选购,轻松自在构造高效、性价比最高检测app平台。产品:咸阳杏彩体育平台 怪物网络有限责任单位不同的用途:教育科研形态:固态物体/粉沫/水溶液制造地:兰州暖心警示:全部研究,没法适用人们科学实验!一些品牌:18:0-18:2 PC,CAS:27098-24-418:0 aminoethyl PC,CAS:2389048-39-718:0-d35-18:0 PC,CAS:327178-89-218:0-18:0-d35 PC,CAS:327178-88-116:0-18:1 PC,CAS:26853-31-618:1-16:0 PC,CAS:59491-62-216:0-18:2 PC,CAS:159701-21-0