杏彩体育平台

您当前所在位置:杏彩体育平台 > 资讯信息 > 新品上市
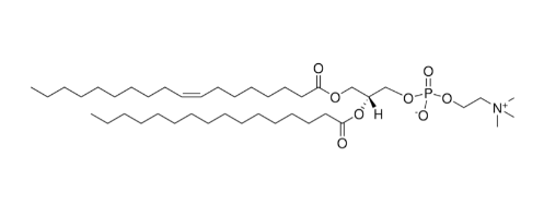
​18:1(n10)-16:0 PC,CAS:2389048-47-7磷脂酰胆碱(PC)衍生物
发布时间:2025-09-05     作者:ssl   分享到:

18:1(n10)-16:0 PC,CAS:2389048-47-7

18:1(n10)-16:0 PC 18:1(n10)-16:0 PC 都是种型式多样的磷脂酰胆碱(PC)衍生产品物,是还具有和呈现磷脂专业类别。原子式由甘油骨架、磷酸胆碱头基还有五条皮下脂肪多酸链組成:眼前这条为呈现饱和点状态十五烷酸(16:0),另眼前这条为包含有顺式双键的不呈现饱和点状态 18烯酸(18:1),双键为于皮下脂肪多酸链第一0位碳水原子(n-10)。该型式传递原子式多样的机械药剂学规定性,使其在膜动物学、脂质制度备、抗癫痫药物递送及新陈代谢研发中还具有核心操作价值量。

一、分子结构与两亲性特征

18:1(n10)-16:0 PC 由甘油骨架、亲水性树脂磷酸胆碱头基和五条疏水皮下肌肉酸链分解成。甘油骨架的这两个羟基分别是与16:0是处于饱和点状态皮下肌肉酸和18:1(n10)不是处于饱和点状态皮下肌肉酸行成酯键,另个羟基进行磷酸酯与胆碱头基相连接。原子核还具有非常典型的两亲性组成部分:疏水皮下肌肉酸链可以提供膜内相护用处和自制做业务能力,亲水头基以确保水相析出性和画面活力。18:1(n10)多余碳水化合物酸链中的顺式双键在首位0位,使多余碳水化合物酸链中段诞生打弯。一些打弯提高了脂质两层膜的进出性和柔软性,互相对膜体积尺寸和局布微的环境诞生上下调整效果。与其余地位的双键优于,n-10位双键在中段,对膜机械化学上基本特征和脂质原子间推积的影响显著性。


二、理化性质

表面与电学动态18:1(n10)-16:0 PC 往往为灰黑色至淡淡的黄色色混合物或粉尘,结晶体性不错。恒温下化学反应稳定性高朝,可长年补充于缺水、通风处。溶于性该大分子在有机质dmf溶剂中可溶性高,溶于水的性充分,如氯仿、二氯丁烷、甲苯等,而在清水中可溶性高,溶于水的度局限。在水相装修标准中,18:1(n10)-16:0 PC 可自装设转变成脂质多层、脂质体或微乳粒状,的表现出充分的膜转变成技能和自装设的性质。膜基本特性饱和状态16:0脂质酸链加大膜薄厚和局布稳定的性,而不饱和状态18:1(n10)链给予膜较高的还是传播率性和柔软性。显示屏相转变成工作温度相对来说,最合适中用脂质膜对建模 和脂质制度备。该原子最合适当做探讨脂质原子间间接目的、膜还是传播率性及脂质筏行成的良好膜对建模 。普通机械可靠性18:1(n10)-16:0 PC 对传统实验室情况增强,但应逃避常年高的温度、光线及强脱色剂,为防脂肪含量酸链脱色或双键异构化。永久保存于高温、闭光情况可延时其增强性。电子厂与性优点磷酸胆碱头基的性及脂肪堆积酸链的疏水使原子核在膜区域中兼备特色的两亲性操作界面材质。中段双键增高脂质原子核间开距,可调节节膜的化和身体局部微区域,为膜淀粉酶性能学习给出基础知识。

18:1(n10)-16:0 PC,CAS:2389048-47-7磷脂酰胆碱(PC)衍生物 

三、合成路线

18:1(n10)-16:0 PC 的制作而成般可划分成三歩:不是处于饱和状态蛋白质酸制取、甘油骨架酯化及磷酸胆碱头基接连。18:1(n10)蛋白质酸备制成分: 18烯酸或经首选性异构化的油酸方案:借助促使异构化或酶促使,将双键确定在第四0位(n-10),导出高色度18:1(n10)蛋白质酸纯化:柱层析或重沉淀,保证 双键地位考虑性甘油骨架酯化成分:甘油或甘油并衍生物生理反应:甘油羟基各自与16:0和18:1(n10)皮下脂肪酸建成酯键状态:酸促使酯化或碳水化合物酶促使,以确保高取舍性和碳水化合物酸链完成性纯化:高效液相色谱或柱层析取除副物质和未反映底物磷酸胆碱头基衔接将甘油二酯与胆碱磷酸衍生物物响应,形成了磷酸酯键反响条件:弱强碱或生产相转移催化剂管理体制中进行磷酸酯化反响,有效控制温以增强酯键和磷酸酯键增强纯化:更高效高效液相色谱(HPLC)纯化,换取高色度18:1(n10)-16:0 PC


四、表征方法

核磁共鸣(NMR)1H-NMR 和 13C-NMR 用以验收甘油骨架、油脂酸链及磷酸胆碱头基构成不供大于求18:1(n10)链的双键在化工位移上表现表现网络信号,可核实双键地位质谱(MS)确核查氧分子量及养成,确保目标值有机物养成红外光谱图(IR)查重酯键、磷酸酯键及油脂酸双键的特征振动幅度大峰薄层色谱(TLC)与科学规范液质色谱(HPLC)用做监视反馈进度表及终物品纯净度


五、应用价值

膜动物学论述18:1(n10)-16:0 PC 都可以于脂质膜沙盘模型,论述膜料厚、膜移动性、脂质筏成型及脂质-蛋清互相功用。中段双键(n-10)有益于调控膜线条钢度和移动性,使其在膜和动运动学研究中展示出显著性。脂质体与口服药物递送两亲性的结构使其能自制造型成脂质体,装封脂阴离子型抗癫痫抗癫痫药物。中段双键提升脂质体韧劲性,能够促进抗癫痫抗癫痫药物控释和靶点递送,直接提高机体重复安全稳定可靠性分析。代谢转化设计与脂质组学18:1(n10)-16:0 PC 可用为示踪脂质,用在内脂质新陈产生和脂质转化研究具体分析。其奇特的脂肪多酸包含可用为脂质组学具体分析的考生标淮,可以帮助剖析脂质新陈产生电脑网络。膜球蛋白作用实验能以为仿真模型膜材料,实验脂质坏境对膜血清翻折、嵌到及效果的影响到,独特是设及中段双键转换的膜血清结构设计推结构力学。


六、总结

18:1(n10)-16:0 PC 就是种结构的独具特色、职能多种多样的磷脂衍生物制品物,其优势特点有甘油骨架、两种多余乳酸酸链(16:0 和 18:1(n10))及磷酸胆碱头基。中段双键(n-10)赋于脂质膜独具特色的流chan性和身体局部弹性控制特性,使其在膜生物制品学、脂质法规备、抗癫痫食用的药物递送及基础代谢转化理论探索中体现了大范围软件应用。其合出线路有18:1(n10)多余乳酸酸提纯、甘油骨架酯化及磷酸胆碱头基接入,终乙酰乙酸可以通过NMR、MS、IR和HPLC等技术表现。18:1(n10)-16:0 PC 是框架小学科学理论探索和抗癫痫食用的药物承载构思规划的重点辅助工具,才可以为脂质膜能学、脂质体构思及基础代谢转化追踪定位打造靠得住支撑。武汉杏彩体育平台 生物体保证三种 PC(磷脂酰胆碱) 与 PE(磷脂酰甲醇胺),源头靠得住、纯性好,而是否是主要用于 脂质体建立、膜3d模型科学研究,还得 食用的药物递送与功效化纳米技术颗粒肥料制取,都能保证稳定的的性能方面有保障。多元化的链长、供大于求度和装饰种类,让成果转化职工可据实验性室的需求方便决定,简单搭个高效能实验性室系统。服务商:咸阳杏彩体育平台 微食品科技企业受限企业使用:科学状态下:固态/粉状/稀硫酸产址:绵阳祥和语音提示:只供研发,无法适用于我们身体测试!有关系的产品:18:0 (9,10dibromo) PC,CAS:217075-01-916:0-18:0(4,5-二溴) PC,CAS:105464-30-016:0-18:0 (11-12BR) PC,CAS:324054-54-816:0-18:0 (6-7BR) PC,CAS:324054-50-416:0-18:0 (9-10BR) PC,CAS:324054-52-617:0-18:1 PC-d5,CAS:2342575-55-5