杏彩体育平台

您当前所在位置:杏彩体育平台 > 资讯信息 > 新品上市
​18:0 propargyl PC,CAS:1830366-39-6,PC磷脂酰胆碱的分子概述
发布时间:2025-09-05     作者:ssl   分享到:
18:0 propargyl PC,CAS:1830366-39-618:0 Propargyl Phosphatidylcholine(CAS:1830366-39-6)专门专题报告

一、分子概述

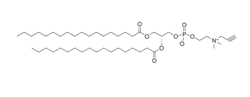
18:0 propargyl PC 一种物理淡化磷脂酰胆碱,其原子式由饱和状态硬脂酸(C18:0)隶属于 sn-1 位,sn-2 位为携带丙炔基(propargyl group, -C≡CH)的皮脂酸仿真模拟型式,头基为磷酸胆碱。原子式式为 C₂₂H₄₃NO₇P,原子式量约为 450–460 g/mol,CAS 号为 1830366-39-6。丙炔基的运用授予该磷脂 “点击事件检查是否上的”反应迟钝效果,可与叠氮基有机化合物借助 Cu(I)-离子液体的 Huisgen 1,3-偶环加的(CuAAC)养成 1,2,3-三唑环,达到基本功能化或荧光标志。从而,18:0 propargyl PC 最常见于脂质体绘制、膜蛋清标志及检查是否上的怪物学理论研究。


二、分子结构与理化特性

头基:胆碱磷酸,亲水、带正电势,与水原子组成氢键和静电能上下级意义。尾链:sn-1 位:呈现饱和状态硬脂酸(C18:0),提供数据膜增强性;sn-2 位:丙炔基装饰脂肪堆积酸养成链,可参入单击无机化学。两亲性构造:疏水尾和亲水头基造成脂质三层,组织拆装为脂质体或脂质囊泡。膜基本特性:丙炔基较小,不偏态引响膜黏性性,但彰显化学反应活性酶。溶解完性:混溶氯仿、二氯甲烷气体、甲醇,水下需改性剂或多普勒彩超辅助工具。


三、合成路线

18:0 propargyl PC 的提炼基本忽略 sn-1 位硬脂酰化和 sn-2 位丙炔基转化,可凭借半提炼或全化学反应提炼达到。1. 半结合自驾路线配制 1-stearoyl-lyso-PC运用 PLA2 酶蛋白质水解天然水 PC 彻底清除 sn-2 位皮脂酸。酶解必备条件:pH 7.4,25–37°C,含 Ca²⁺ 激活开通剂,1–2 小时英文。sn-2 位酰化丙炔基具象化物(如 propargyl 酯、propargyl 氯化物)酰化 sn-2 羟基。常温(0–5°C)、惰性工作氛围,大量 DMAP 或 EDC 是 离子液体剂。发应后,用水洗涤、旋蒸,纯化收获 18:0 propargyl PC。2. 全化学上的聚合路线地图甘油骨架护理采用 1,2-O-isopropylidene-sn-glycerol 呵护甘油羟基,确认板块考虑性。sn-1 位酰化硬脂酸氯或硬脂酸-NHS 酯酯化 sn-1 羟基。sn-2 位去防护并酰化丙炔基环境温度闭光,防范副反响。磷过酸与胆碱化POCl₃ 或 CDP-choline 法机遇胆碱磷酸头基。纯化硅橡胶柱层析或反相 HPLC,删去未反馈物和副乙酰乙酸。3. 酶促聚合适用调整化脂质酶或 LPLAT 催化氧化 1-stearoyl-lyso-PC 与丙炔基纯化脂质酸想法。优点和缺点:湿润能力,高决定性,护理可溶性丙炔基。局限:的成本较高,建设批量需优化提升。

18:0 propargyl PC,CAS:1830366-39-6,PC磷脂酰胆碱 

四、分析与表征方法

质谱(ESI-MS/MS)母正离子 [M+H]⁺ 或 [M+Na]⁺,判定丙炔基绘制有着。功能皮肤魂晶:m/z 184(胆碱)、sn-1 和 sn-2 链功能皮肤魂晶。NMR(¹H、¹³C、³¹P)¹H NMR 非常可观测丙炔基 C≡CH 的信号(约 δ 2–3 ppm, 终端机炔氢)。校验甘油骨架、胆碱头基及硬脂酸链全面性。HPLC/LC-MS反相 C18 柱或硅橡胶柱纯化及酶联免疫法阐述。弹窗化工证实与 azide 绘制团伙反映变成三唑环,可顺利通过荧光或质谱证实反映热效率。


五、理化特性与储存

外形:暗红色至淡成黄色颗粒或膜融掉性:有机的石油醚非常好,池中需超音波细化稳固性:丙炔基工作温度性很不错,但需禁止烧碱溶液高温耐强碱,禁止照射店铺必备条件:−20°C 或更低,充氮密封性,闭光,以免 油分碰触


六、科研与应用

脂质体功能键化丙炔基可完成 CuAAC 双击普通机械与效果分子结构、荧光测试探针或靶点配体偶联,达到脂质躯干面突显。膜怪物电学学学习用在模板膜材质,深入分析丙炔基对膜组成、流性和血清依照性的的影响。物理化学怪物学软件对于可点击量的磷脂底物,中用膜蛋白质标志、脂质排泄定位跟踪及肚子里荧光影像。肿瘤药物递送系统的搭建在用药质粒或nm脂质体中,可以用于靶向治疗呈现,完成特异形递送。脂质组学探索做内标或可功能键化 PC 摸拟物,使用于降钙素原检测分析一下和分泌研究分析。


七、总结

18:0 propargyl PC 是种间距功用化的磷脂酰胆碱,凭借在 sn-2 位注入丙炔基,控制打开网页无机物理学反馈本事。其分解成可凭借半分解成、全无机物理学或酶促技术收获,高含量产品设备宽泛用到 脂质体表达、膜生态学学物理学、无机物理学生态学学学、荧光标出及食用的药物递送深入分析。丙炔基的注入彰显该磷脂特色的功用化能力,使其当上当今膜深入分析和微米生态学学产品建设的重要的软件工具。 咸阳杏彩体育平台 生物学保证多种多种 PC(磷脂酰胆碱) 与 PE(磷脂酰工业乙醇胺),来原可靠性、纯度较高,无所谓是在 脂质体开发、膜模式化研究,还 性药物递送与作用化微米小粒配制,都能保证安全稳定的性基本保障。多种的链长、饱合度和体现种类,让研究人员管理可按照科学实践具体需求协调性选,解乏开发快速科学实践服务平台。厂家代理商:绵阳杏彩体育平台 生物学自动化有限公司官网英文公司官网的主要用途是什么:科技睡眠状态:胶体/纳米银稀硫酸/稀硫酸生产基地:宝鸡浪漫提示信息:仅作科研项目,无法主要用于体内实验性!一些物料:18:1-12:0 Biotin PC,CAS:2260669-99-416:0-18:1(n7) PC - IsoPure,CAS:132295-25-118:1(n10)-16:0 PC - IsoPure,CAS:2389048-47-718:1 Lyso PC,CAS:19420-56-518:1-06:0 NBD PC,CAS:106974-05-415:0-18:1-d7-PC,CAS:2097561-16-318:1-12:0 NBD PC,CAS:190792-36-018:1(n7)-16:0 PC - IsoPure,CAS:2389048-50-2