杏彩体育平台

您当前所在位置:杏彩体育平台 > 资讯信息 > 新品上市
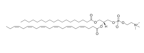
18:0-22:6 PC,CAS:59403-52-0,1-硬脂酰-2-二十二碳六烯酰-磷脂酰胆碱的合成路线
发布时间:2025-09-05     作者:ssl   分享到:

18:0-22:6 PC,CAS:59403-52-0

18:0-20:4 磷脂酰胆碱(S-PC/ARA-PC,CAS:35418-59-8)


一、分子概述

18:0-20:4 PC,即 1-stearoyl-2-arachidonoyl-sn-glycero-3-phosphocholine,有的是种天然水的存在的磷脂酰胆碱团伙,由是处于达到饱和状态状态的硬脂酸(C18:0, sn-1 位)和多不是处于达到饱和状态状态的玉米四烯酸(C20:4, sn-2 位)可以通过甘油骨架与磷酸胆碱头基衔接而成。其团伙量为 785.1 g/mol,物理式 C₄₂H₈₀NO₈P。那样磷脂在哺乳期宠物细胞核质膜中极其常考,需要在面神经细胞核质、肝胀和血浆中含量的多种多样。sn-2 位的玉米四烯酸可被 PLA2 电离出现自在玉米四烯酸,以求积极参与 eicosanoid 类的数字信号碳原子出现,以至于 18:0-20:4 PC 在 宫颈炎症、的数字信号转导与膜怪物工具学中扮成很重要职业。


二、分子结构与理化特性

头基:胆碱磷酸,性亲水,带正电荷量,可与水转变成氢键及消除静电相互间的作用。尾链:sn-1:过剩硬脂酸(C18:0),打造膜的不稳相关性性和密切堆放能力素质;sn-2:多不呈现饱和状态坚果四烯酸(C20:4 Δ5,8,11,14 cis,cis,cis,cis),确立膜较高分子运动性和可蠕变。两亲性:水可溶低但可自愿建立脂质两层、脂质体或囊泡。相情形:室内溫度下呈液晶显示流相,Tm 较低;sn-2 位的多不饱满链减小膜的相形成溫度。降解性:可易溶氯仿、甲醇、二氯二氧化氮等可挥发稀释剂,在底层的水中需分散型剂或mri手游辅助。


三、合成路线

1. 半获得路线规划半镶嵌的办法以 lyso-PC 里面体为地基,方法流程以下:分离纯化 1-stearoyl-lyso-PC能够 磷脂酶 A2(PLA2) 酶解绿色 PC(如 DPPC 或其他的 18:0-PC)取除 sn-2 位皮下脂肪酸,实现 1-stearoyl-lyso-PC。酶解前提:pH 7.4 缓冲区液,含 Ca²⁺ 促活剂,溫度 25–37°C,1–2 钟头。sn-2 位酰化主要采用红薯四烯酸衍生物物(如红薯四烯酸-NHS 酯或酸氯)酰化 sn-2 羟基。影响前提:超低温(0–5°C)、惰性气味守护(氮或氩)、一点 DMAP 或 EDC 催化氧化。影响后,清洗去掉副剩余物,旋蒸沉淀的个人目标 PC。优势:工作简变,底物易患;问题:sn-2 位几率出现酰基转入,葵花籽四烯酸易阳极氧化,需求严格执行把控好状态。2. 全普通机械制成行车路线全化学上的合成图片可获取高溶解度、拉曼光谱标出或基准品,步有以下:甘油骨架庇护分为 1,2-O-isopropylidene-sn-glycerol 维护甘油骨架,保证位置选泽性。sn-1 位酰化用硬脂酸具象化物酯化 sn-1 羟基(如硬脂酸氯或硬脂酸-NHS 酯)。sn-2 位去保护性并酰化黄豆四烯酸温度低(0–5°C)阴凉操控,严防双键阳极氧化。磷酸性反应与胆碱化引进磷酸基团后与胆碱缩合,转变成 PC。水平需按照严格控温、控水,阻止副体现。纯化硅橡胶柱层析或 HPLC,避开未反响物和副生成物。3. 酶促合并根据 lysophospholipid acyltransferase (LPLAT) 或固定位置化多余脂肪酶催化反应 1-stearoyl-lyso-PC 与生花生四烯酸-CoA 转化 18:0-20:4 PC。优缺点:高抉择性、性情温和环境、恢复多不供大于求链完好性性。约束:酶及辅酶直接费用较高,建设进行机械化需提高。

18:0-22:6 PC,CAS:59403-52-0,1-硬脂酰-2-二十二碳六烯酰-磷脂酰胆碱 

四、分析与表征方法

质谱(ESI-MS/MS)母亚铁离子 [M+H]⁺ m/z 785.6表现形式宝箱:m/z 184.07(胆碱)、m/z 283(C18:0)、m/z 303(C20:4)NMR(¹H、¹³C、³¹P)确认甘油骨架、脂肪堆积酸链及磷酸胆碱组成黄豆四烯酸双键信号灯显著的HPLC/LC-MS反相 C18 柱或正相柱分离处理不一样的 PC 分子结构DSC(差示测试量热)检验膜相变化环境温度和移动性酶解定位功能进行分析PLA2 酶解核定 sn-1/sn-2 脂肪的酸位点五、化学特征参数与存储金属机身:白至淡黄颜色颗粒或胶片消融性:有机会容剂稳定,清水中需塑料添加剂或超音波辅助器增强性:花生果四烯酸双键易空气空气氧化,需较低温度背光,“添加*空气空气还原剂(如 BHT)儲存要求:−20 °C 或更低,充氮密封带,禁止冻融配置


六、科研与应用

膜生物制品物理性研究方案18:0-20:4 PC 能够用于模板膜系统化,探究趋于稳定/多不趋于稳定链对膜出入性、脂筏达成及曲率的印象。脂质分泌与无线信号信号通路sn-2 玉米四烯酸可根据 PLA2 油脂水解挥发,转化成前茅腺素、白三烯等 eicosanoid 卫星信号原子核。脂质组学实验用于为天然植物 PC 按量定性分析对象图片,或平衡拉曼光谱符号的标准品。脂质体与肿瘤药物各种载体在脂质体质备,提供膜流通性和肿瘤药物挥发能。真菌感染与感觉神经钻研在免疫性、疾病及精神元膜的信号探析中诸多应运。


七、总结

18:0-20:4 PC(S-PC/ARA-PC)是一种关键的天然混合链磷脂,结合了饱和链稳定性与多不饱和链活性,既保证膜结构稳定,又为信号分子生成提供底物。其合成可通过半合成、全化学或酶促方法获得,高纯度产品广泛用于 膜模型、脂质组学、代谢研究及药物递送系统。在科研领域中,18:0-20:4 PC 是研究膜生物物理特性、炎症信号及神经生理的重要工具。

深圳杏彩体育平台 生物学带来多类 PC(磷脂酰胆碱) 与 PE(磷脂酰甲醇胺),来源地是真的吗、纯度不高,无论怎样是采用 脂质体构造 、膜模特学习,還是 制剂递送与工作化纳米技术科粒分离纯化,都能带来不稳定性的特性保护。各式各样的链长、是处于饱和状态度和淡化品类,让科技考生可通过實驗实际需求敏锐进行,轻松自由安装高效性實驗的平台。服务商:杭州杏彩体育平台 生物技术社会有局限大公司适用范围:科研开发工作状态:混合物/粉末状/硫酸铜溶液产区:咸阳温磬提示语:仅限于科技创新,并不能广泛用于人体本身实践!涉及到物料:18:0-d35-18:0 PC,CAS:327178-89-218:0-18:0-d35 PC,CAS:327178-88-116:0-18:1 PC,CAS:26853-31-618:1-16:0 PC,CAS:59491-62-216:0-18:2 PC,CAS:159701-21-018:1-14:0 PC,CAS:95896-56-318:0-20:4 PC,CAS:35418-59-818:0-22:6 PC,CAS:59403-52-0