杏彩体育平台

您当前所在位置:杏彩体育平台 > 资讯信息 > 新品上市
​18:1-14:0 PC,CAS:95896-56-3,PC磷脂酰胆碱的科研与应用
发布时间:2025-09-05     作者:ssl   分享到:

18:1-14:0 PC,CAS:95896-56-3

18:1-14:0 磷脂酰胆碱(OMPC,CAS:95896-56-3)

一、基本信息

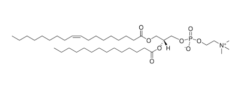
电化学品牌:1-oleoyl-2-myristoyl-sn-glycero-3-phosphocholine缩写字母:18:1-14:0 PC 或 OMPCCAS 号:95896-56-3原子式:C₃₈H₇₂NO₈P分子式量:712.0 g/mol此原子由甘油骨架、sn-1 位油酸(C18:1 Δ9 cis 单不过剩)和 sn-2 位十四酸(C14:0 过剩)组成了,头基为磷酸胆碱。OMPC 都是 混后链 PC(单不过剩 + 过剩短链),在组织细胞结构三维模型中有较高流chan性和膜打弯性,使用于膜高中力学及脂质体理论研究。


二、分子结构与理化特征

两亲性结构类型:胆碱磷酸头基极高亲水,油酸和十四酸疏水链建立疏水尾。膜特质:sn-1 油酸链可以提供膜流性,sn-2 短链供大于求人体脂肪酸较低膜板厚,可以光催化原理小内径脂质体或曲率较高的膜。相演变环境温度:低过 0 °C,室内温度下呈液晶拼接屏流chan相。融化性:可不溶氯仿、甲醇、氯仿/甲醇混合型液体,泥中需消泡剂或超声检查分散性。


三、合成路线

1. 半制作而成路经半生成方式方法经常以 1-oleoyl-lyso-PC 为里头体,经过 sn-2 位酰化传入 C14:0:准备 lyso-PC:从非天然 PC 或商业性的 PC 能够 PLA2 酶 溶解 sn-2 位脂肪细胞酸,荣获 1-oleoyl-lyso-PC。sn-2 位酰化:采用 myristoyl-NHS 酯 或 myristoyl 氯化物。地温(0–5 °C)、惰性有害气体(氮或氩)能力下通过酯化。想法后拿水洗、旋蒸的还原副货物。2. 全检查是否组成路线图甘油保护措施的:主要采用 1,2-O-isopropylidene-sn-glycerol 保护措施的甘油骨架。sn-1 位酰化:油酸酰化 sn-1 羟基。sn-2 位去养护并酰化 C14:0:超高温控制,处理侧反应迟钝。磷酸胆碱化:用 POCl₃ 或 CDP-choline 法完全。纯化:硅橡胶柱层析或 HPLC。3. 酶促方式方法底物:1-oleoyl-lyso-PC 与 myristoyl-CoA酶促使:用 LPLAT 或不变化脂肪酸酶做出位置抉择性酰化优点有哪些:温文尔雅必备条件,高考虑性局限性:酶及底物价格高,占比化需SEO


四、分析与表征

质谱(ESI-MS/MS):母化合物 [M+H]⁺ m/z 712;胆碱觉醒石 m/z 184.07;脂肪多酸觉醒石 m/z 281(C18:1)和 227(C14:0)。NMR(¹H/¹³C/³¹P):认可甘油骨架、油脂酸链及磷酸胆碱头基空间结构。HPLC/LC-MS:反相或正相破乳有所差异 PC 异构体。DSC:测定方法相转为工作温度和膜物理学性状。

18:1-14:0 PC,CAS:95896-56-3,PC磷脂酰胆碱 

五、理化特性与储存

外光:白色的或淡黄白色碎末/溥膜融化性:有机会稀释剂非常好,池中需超音波或扩散剂輔助固定性分析:油酸链易腐蚀,需常温遮光,含有*腐蚀剂(BHT)补充:−20 °C 或更低,充氮封好,避开冻融重复


六、科研与应用

膜工具学实体模型:用以的研究膜流通性、曲率及小半径脂质身型成脂质体治疗药材递送:短链饱和状态脂肪酸酸可延长膜柔软性与治疗药材移除高效率脂质组学剖析:广泛用于定量分析探讨或用作内标消化吸收示踪:可在细胞核或身体里定位跟踪 PC 消化吸收方向


七、总结

18:1-14:0 PC(OMPC)是一种典型混合链磷脂,结合了单不饱和长链与饱和短链的特性,既保证膜流动性,又提高膜曲率适应性。其合成可通过半合成、全化学或酶促方法实现,高纯度产品广泛应用于膜生物物理、脂质组学和药物载体研究。

浙江杏彩体育平台 生物技术可以可以提供几种 PC(磷脂酰胆碱) 与 PE(磷脂酰无水乙醇胺),源准确、纯度大,不单是是主要用于 脂质体搭配、膜3d模型探讨,还 药递送与的功能化纳米级粒状光催化原理,都能可以可以提供平稳的耐腐蚀性维护。有很多的链长、呈现饱和状态度和遮盖款式,让研发工作人员可基于实验英文设计市场需求灵巧选购,不累搭设高效性实验英文设计公司。厂:渭南杏彩体育平台 生物技术科技发展有限的企业的主要用途是什么:教学科研环境:固态物/粉丝/饱和溶液产自:银川舒心提示信息:只供科技,不能够用在女性身体實驗!涉及的产品:18:1-12:0 NBD PC,CAS:190792-36-018:1(n7)-16:0 PC - IsoPure,CAS:2389048-50-218:0 Diether PC18:1(n7)-16:0 PC - IsoPure,CAS:2389048-50-218:1(n9)-16:0 PC - IsoPure,CAS:59491-62-216:0-18:1 PC (POPC): Cholesterol (70:30 molar ratio)16:0-18:2 PC: Cholesterol (70:30 molar ratio)18:0-18:1 PC: Cholesterol (70:30 molar ratio)