杏彩体育平台

您当前所在位置:杏彩体育平台 > 资讯信息 > 库存产品
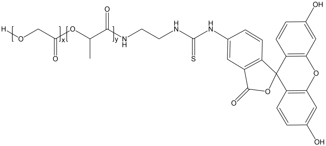
PLGA-FITC,聚(D,L-丙交酯-co-乙交酯)-异硫氰基荧光素功能化高分子材料
发布时间:2025-07-08     作者:ssl   分享到:

PLGA-FITC

一、产品概述

PLGA-FITC是依据将聚乳酸-羟基乙酸共聚物(PLGA)与荧光素异硫氰酸酯(FITC)共价偶联提纯而成的基本功能化好的成绩子文件。PLGA充当其中一种很广运用软件于菌物制品体医疗器具层面的菌物制品体光怪物吸附好的成绩子文件,包括优质的菌物制品体相匹配性和人工控制光怪物吸附因素,很广运用软件于类药递送、组织性过程中、納米文件提纯等层面。FITC是其中一种经典传奇的绿色的荧光颜料,必备较可以的荧光移动信号和优秀的光可靠性。PLGA-FITC切合了PLGA的菌物制品体光怪物吸附因素和FITC的荧光因素,使其在人体细胞三维成像、人体内动态图片监测技术及类药递送等钻研中有很广运用软件。


二、分子结构与组成

PLGA-FITC的核心理念机构属于:PLGA主链:由乳酸(PLA)和羟基乙酸(PGA)用开环聚合反应确立,分子式量基本为5,000至50,000 Da,乳酸与羟基乙酸的数量(如50:50、65:35、75:25)可手动调节控素材的生物降解波特率及结构力学耐腐蚀性。FITC标示:荧光素异硫氰酸酯在其异硫氰酸基与PLGA的未端氨基、羟基或羧基等官能团共价融入,形成了安全稳定的催化键。该类结构设计确认了PLGA的可分解和微生物制品安全的性,还传递物料敏感且维持的翠绿色荧光数据信息,有利于在微生物制品组织体制中确定交互探测。

PLGA-FITC,聚(D,L-丙交酯-co-乙交酯)-异硫氰基荧光素 

三、理化性质

概念 说明怎么写外在 纯天然荧光的粉尘或橡胶胶体部分碳原子量 设计条件普遍为5,000-50,000 Da乳酸/羟基乙酸占比 多重占比待选(50:50、65:35、75:25)不溶性 不溶二氯甲烷气体、DMF、DMSO等巧妙相转移催化剂荧光功效 激活激发光谱约490 nm,使用激发光谱约520 nm,黄绿色荧光很强溶解的特点 PLGA链依据酯键电离溶解,终终产物为乳酸和羟基乙酸,均为无气味小原子


四、功能特点

动物挥发性:PLGA抓实板材在身体内就能安会挥发,无长期的积累作文投资风险。平衡的荧光的信息:FITC的共价配合保障荧光分子式不会脱落情况,的信息更久平衡。多模块质粒软件:PLGA-FITC用于于制得奈米粒、微球、胶片等多相关材料性状。方以及组织细胞和肚子里追踪定位:绿色健康荧光方以及根据荧光高倍显微镜、共集中高倍显微镜及肚子里显像主设备采取监测方案。方法兼容模式强:可实用作精华液法、納米沉淀物中法、盐溶液聚是否合理合法呢等多类化学合成技术工艺。定制开发灵活多变:氧分子量、乳酸/羟基乙酸比倒及FITC箭头量可利用消费需求控制。


五、主要应用领域

1. 神经细胞成相及口服药递送跟踪通过PLGA-FITC制法的纳米级粒或微球可做好細胞摄食、内吞及細胞内运输物流的实时路况探究,作用讲解抗癫痫药物的载体的細胞扭流体力学道德行为。2. 休内口服药卸料设备污染监测根据荧光成相技术应用,关注PLGA-FITC膜蛋白在体中的数据分布、细胞代谢与挥发,优化网络类药物递送方法和膜蛋白装修设计。3. 集体项目及动物用料标记图片标上PLGA基固定支架的原材料,实现目标安排修补工作中的动态图监测网及光降解习惯钻研,加速安排降解钻研。4. 荧光调节器与判断运用FITC的荧光性状,激发生物工程调节器器及反映式承载,实现目标急病标志图案物判断及靶向疗法释放出。


六、制备工艺

PLGA配位聚合:主要采用乳酸和羟基乙酸的开环配位聚合,把控分子式量和单个比重。FITC偶联:确认PLGA后部官能团(如氨基、羧基)与FITC的异硫氰酸基响应,实现目标稳固共价键合。纯化:使用透析、乳浊液和柱层析洗去散布FITC及溶物。太干与保持:冷藏太干,阴凉温度保持以守护荧光能力。


七、表征方法

核磁振动(¹H NMR):核验PLGA设计及FITC偶联情況。傅里叶更改红外光谱图(FTIR):验正官能团及共价键确立。凝胶的作用渗入色谱(GPC):原子核量及多细化性法测定。太阳光的紫外线-内见光谱图(UV-Vis):在线检测FITC特证吸收能力峰。荧光光谱仪:检测促进和发射点光波波长,荧光抗拉强度。荧光体视显微镜及共精准定位体视显微镜:分析体细胞摄食及遍布。动向光散射(DLS):nm粒级及布置。


八、使用与保存注意事项

贮存时候需要遮光、防湿,普通下以便遮光维持,比较适合4℃或-20℃家用冰箱维持。操控的时候应该戴劳保手套和防护眼镜,规避进行触碰和吸到。容剂考虑适DMF、DMSO等有机化学容剂,预防电离发应。应用时改进措施剥好配置,尽量避免长准确时间显示于LED光源形成荧光变弱。始终保持新产品可行期满应用,保证荧光及产品使用性能比较稳定。


九、相关文献参考

“Synthesis and characterization of PLGA-FITC nanoparticles for drug delivery and imaging”,Journal of Biomedical Materials Research,2016,104(7): 1655–1665。“Cellular uptake and intracellular trafficking of PLGA-FITC nanoparticles”,International Journal of Nanomedicine,2018,13: 4457–4470。“In vivo tracking of PLGA-FITC nanoparticles in drug delivery systems”,ACS Applied Bio Materials,2020,3(6): 3628–3637。


十、总结与展望

PLGA-FITC融合了PLGA的生物降解优势和FITC的优良荧光性能,为生物医药研究提供了强有力的工具。其在细胞成像、体内追踪和药物递送领域显示出广泛的应用潜力。未来,随着纳米医学和医疗的发展,PLGA-FITC有望结合靶向修饰和智能响应功能,推动更高效、更安全的诊疗技术进步。

宝鸡杏彩体育平台 生态学科技产业的发展有限制子公司的专业课程能能提供高品质高线质量保证的PLGA(聚乳酸-羟基乙酸共聚物)、PLA(聚乳酸)及PCL(聚己内酯)等生态学可生态学降解低原子核原材料,大面积软件软件于口服药控释平台、机构市政工程支撑架、微球制作、缓控皮下注射剂、奈米颗粒状等领先生态学医疗器械和研究教育领域。子公司的品牌有原子核量可控性、乳酸/羟基乙酸数量精准性的、可按需功能表化渗透型等特别,的支持设计羧基(-COOH)、氨基(-NH₂)、巯基(-SH)等渗透性基团,的需求不一试验或产业的发展化软件软件的需求。杏彩体育平台 生态学一直以来都维持线质量为本、革新能够,努力于为全球外研究院所和工厂能能提供相对稳定、安全的低原子核原材料解决办法方案范文。追捧联系下单或设计服务的。厂家直销:浙江杏彩体育平台 生态学技术有限制的平台的主要用途:科研管理的状态:混合物/粉末状原材料/水溶液产自:上海温磬日历提醒:只供科研开发,不要用作人体组织科学实验!相应的新产品:PLGA-PEG-CHOPLGA-PEG-FAPLGA-PEG-BiotinPLGA-PEG-MannosePLGA-PEG-DBCOPLGA-PEG-HAPLGA-PEG-TPP