杏彩体育平台

您当前所在位置:杏彩体育平台 > 资讯信息 > 库存产品
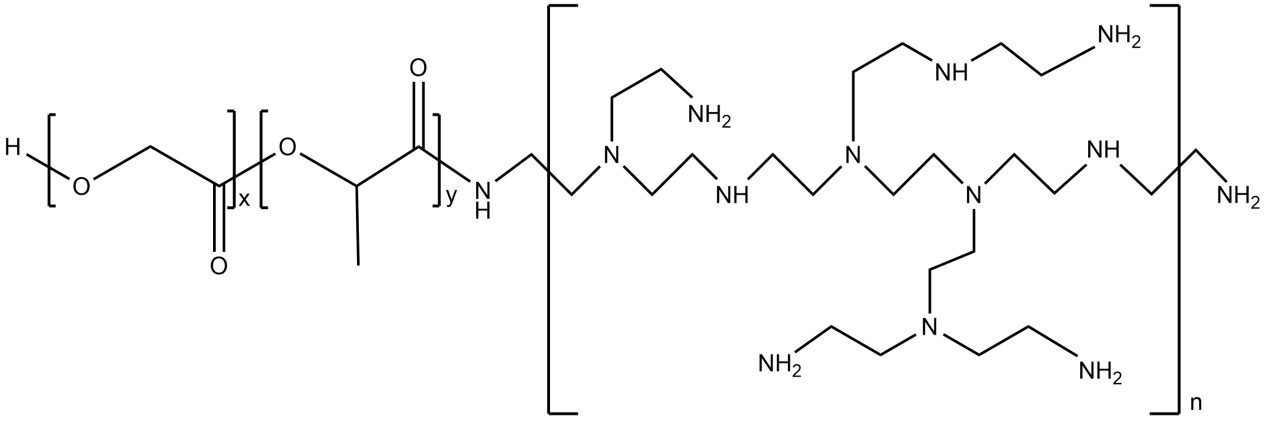
PLGA-PEI,聚乳酸-羟基乙酸-聚乙烯亚胺,面向基因治疗与疫苗递送的多功能载体材料
发布时间:2025-07-08     作者:ssl   分享到:

PLGA-PEI

PLGA-PEI:面向基因治疗与疫苗递送的多功能载体材料

一、产品概述

PLGA-FITC 是将聚乳酸-羟基乙酸共聚物(PLGA)根据菌物绘制与荧光素异硫氰酸酯(FITC)共价偶联出现的职能化菌物拿高大分子素材。PLGA是一个种极具顺畅菌物相融性和可控制光降解性的合成图片汇聚物,被非常广泛用来口服药物递送、团队建设项目及菌物医用不锈钢素材范畴。FITC是 种使用的精彩纷呈荧光染剂,极具高荧光效果和顺畅的光比较稳界定,使用来菌物三维成像和标识。顺利通过在PLGA氧分子链或末段引出FITC记号,PLGA-FITC资料不只是保证了PLGA的表现出色效能,还有可视化分析追查业务能力,利于在肿瘤细胞检测、人体内区域划分探讨及类药降低情况监测方案中在使用。


二、分子结构与组成

PLGA主链:由乳酸(PLA)和羟基乙酸(PGA)共聚包含,打算产品的怪物可降解性和生物学基本特征;FITC箭头:荧光素异硫氰酸酯使用酰胺键或某个共价键与PLGA的氨基、羟基或羧基等官能团偶联;原子量区域:一般 5,000–50,000 Da,可根据软件应用需要可制作;乳酸/羟基乙酸基数:多见50:50、65:35、75:25,管控降解塑料速度慢及机制使用性能。

PLGA-PEI,聚乳酸-羟基乙酸-聚乙烯亚胺 

三、理化性质

特点 证明外观专利 黑色至浅墨绿色纳米银溶液或胶体溶液碳原子量 制作超范围广,熟悉5,000–50,000 Da乳酸/羟基乙酸比列 多重选取,如50:50、65:35、75:25消融性 互溶DMF、DMSO、二氯二氧化氮等有机的乙酸丁酯荧光形态 调动光主波长约490 nm,发送光主波长约520 nm,蓝色荧光化学可降解耐热性 PLGA链淀粉水解化学可降解,有机物乳酸和羟基乙酸没有毒


四、功能特点

✅ 生物制品技术溶解性:PLGA有些有保障板材在生物制品技术体内安全管理溶解,削减长久的致癌性高风险;✅ 荧光符号:FITC能提供过强安全的生态荧光,用于身体外动态数据跟踪与位置定位;✅ 共价结合实际:FITC实现平稳的生物键与PLGA衔接,制止染剂开裂布尔代数特情人粘附;✅ 多技能的载体:能用于备制荧光标记符号nm粒、微球、载药机系统,实行可视化分析监控;✅ 优质析出性和生产加工性:适用多种多样准备流程,以及纳米级滤渣法、面霜法、水妇科凝胶等;✅ 订制化制作:可通过调查诉求优化原子量、乳酸/羟基乙酸数量及FITC箭头容重。


五、主要应用领域

5.1 神经元激光散斑与监视灵活运用PLGA-FITC制作納米粒或微球,参与体细胞摄入和分布点探析;24小时探究质粒在細胞内的及运输途径及化学降解操作过程;帮助药物剂量递送系統的肿瘤细胞内手机定位和缓解压力活动研究。5.2 体中药物治疗输料监控能够 荧光信号灯监视PLGA基药物治疗媒介在自身的区域划分与分解代谢;研发靶向药物递送使用率及膜蛋白限制出境时候,提高给药计划书。5.3 公司建设工程原材料标签标注金属支架素材,监测网素材生物降解及阻止兼容合并的过程 ;适用安排解决和回收中的动态信息关察。5.4 荧光感测器器与微生物测量灵活运用PLGA-FITC搭建荧光为了响应体统,检查生物制品分子式或生态环境变换;发展铭感的动物调节器app平台。


六、制备工艺

PLGA合出开环聚合物设定乳酸与羟基乙酸比例怎么算及大分子量;FITC碱化及偶联进行应该的检查是否的办法(如能够PLGA末梢氨基与FITC的异硫氰酸基作用),实行共价接触;纯化步骤利用透析、沉定、柱层析等技術避开散布FITC和杂物;变干与永久保存涡流冷冻冰箱干澡,以防光降解和溶解,维持荧光活性酶类。


七、表征技术

核磁嗡嗡声(¹H NMR):验证PLGA结构设计及FITC偶联时候;傅里叶调换红外光谱仪(FTIR):检查的特征官能团及偶联键;抑菌凝胶渗透法色谱(GPC):分子结构量及多单一均值定量分析;紫外线-可以说光谱图(UV-Vis):旋光度的测定FITC的特点获取峰;荧光光谱图:发挥及卫星发射主波长核查,荧光抗拉强度定性分析;显微三维成像(荧光体视显微镜、共集聚体视显微镜):考察上皮细胞内位置及膜蛋白匀称。


八、使用与保存注意事项

工作 意见与建议介绍店铺情况 阴凉、粗糙、环境温度存储(建议4℃或-20℃),可以防止荧光衰减选择生态环境 制止太阳阳光照射,选择时新鮮调制盐溶液人身安全防护 运作时戴上半指手套、护目,尽量不要吸多烟尘及面部皮肤遇到稀释剂会选择 适用于DMF、DMSO、二氯二氧化氮等稀释剂,应对油脂水解的的使用时间是 个人建议在保存期期内的的使用,抓实荧光耐磨性


九、文献及研究进展

“Synthesis and characterization of PLGA-FITC for fluorescent drug delivery systems”Journal of Biomedical Materials Research, 2017, 105(3): 734–742→ 评估报告PLGA-FITC的合成图片极其在治疗药物递送中的操作。“Cellular uptake and intracellular trafficking of PLGA-FITC nanoparticles”International Journal of Nanomedicine, 2018, 13: 4457–4470→ 钻研PLGA-FITC奈米粒在组织内的道德行为和推力学结构。“In vivo imaging of PLGA-FITC nanoparticles for targeted drug delivery”ACS Applied Bio Materials, 2020, 3(6): 3628–3637→ 浅析PLGA-FITC在身体靶向治疗口服药递送中的划分和代谢率。


十、总结与展望

PLGA-FITC作为一种结合了PLGA生物降解特性和FITC可视化功能的高分子材料,大地便利了纳米药物载体及生物医用材料的研究。其优异的荧光性能和生物安全性使其成为细胞成像、药物递送监测及组织工程中的理想选择。

未来成长 ,现在多模态成相和方法的成长 ,PLGA-FITC已成定局与任何功用大分子协作APP,统筹推进智慧纳米技术质粒和荧光疾病诊断网上平台的创新技术,为业物药业领域有越来越多冲破。郑州杏彩体育平台 怪物体学技术不多品牌非常专业带来物超所值保证的PLGA(聚乳酸-羟基乙酸共聚物)、PLA(聚乳酸)及PCL(聚己内酯)等怪物体学可怪物降解得大团伙式装修产品,广泛的操作于药品控释形式、团体公程角架、微球准备、缓控注入剂、纳米技术颗粒肥料等科技前沿怪物体学健康安全和科技研究工作的领域。品牌厂品应具大团伙式量可以操控的、乳酸/羟基乙酸比倒脱贫攻坚、可按需实用功能化增韧等基本特征,能够订做羧基(-COOH)、氨基(-NH₂)、巯基(-SH)等活性氧基团,做到有差异实验所或产业发展规划化操作供给。杏彩体育平台 怪物体学不断始终质量水平为本、全新推动,全力于为国内的外科技研究工作院所和客户带来安稳、耐用的得大团伙式装修产品解決实施方案。认可咨询工作预定或订做工作。制造厂家:深圳杏彩体育平台 生物工程新材料技术有限司司功用:科研项目的情况:固态/金属粉/盐溶液产址:渭南贴心短信提醒:仅限科技,可以使用在体内试验!涉及产品的:PLGA-PEG-NH2PLGA-PEG-MALPLGA-PEG-COOHPLGA-PEG-N3PLGA-PEG-PLGAPLGA-MALPLGA-SHPLGA-CHOPLGA-NHS