杏彩体育平台

您当前所在位置:杏彩体育平台 > 资讯信息 > 库存产品
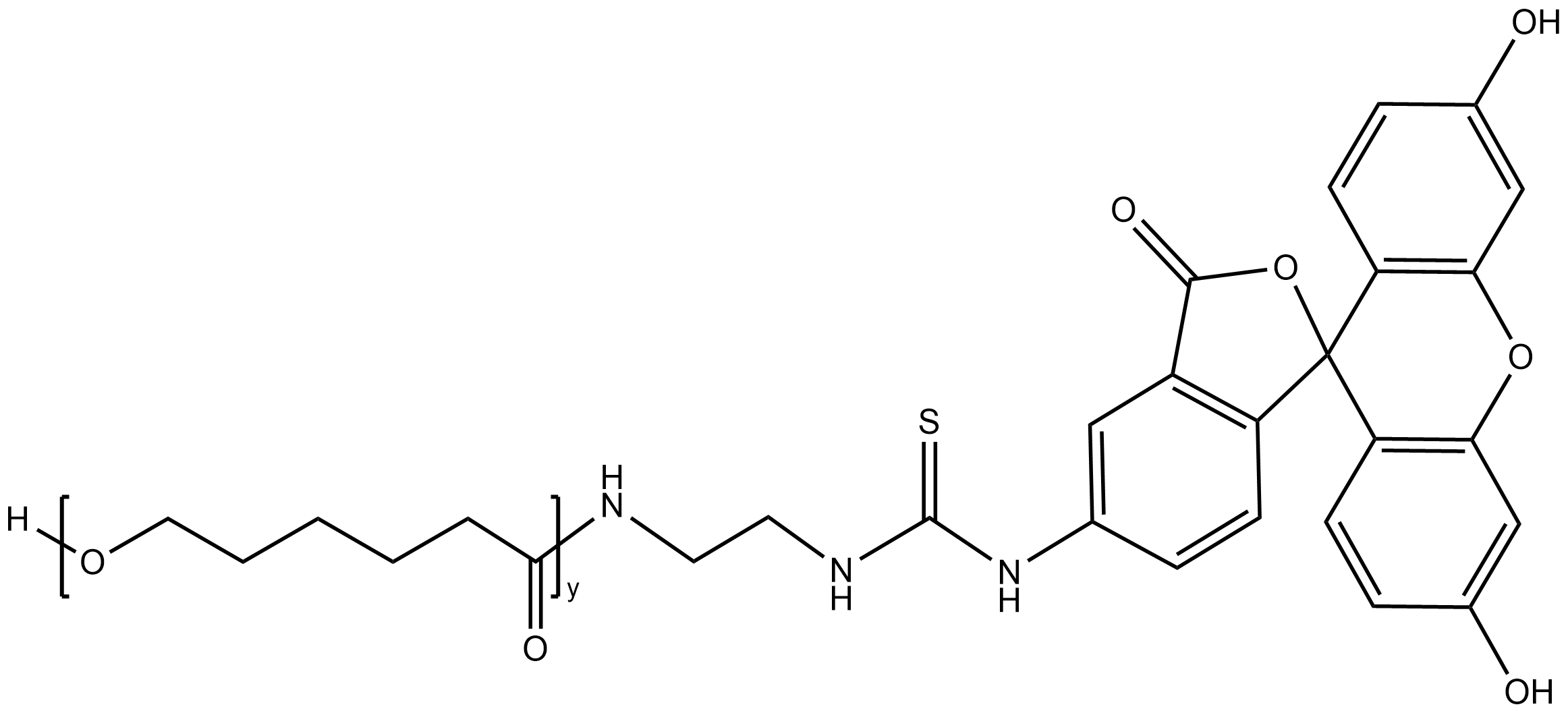
PCL-FITC,聚己内酯-硫氰基荧光素,共聚物在细胞摄取与药物释放研究中的应用价值
发布时间:2025-07-04     作者:ssl   分享到:

PCL-FITC

PCL-FITC共聚物在细胞摄取与药物释放研究中的应用价值

PCL-FITC(Polycaprolactone-Fluorescein Isothiocyanate)产品信息介绍

一、产品概述

PCL-FITC 就是指聚己内酯(Polycaprolactone,PCL)高聚物物采用化学上的表达与荧光素异硫氰酸酯(Fluorescein Isothiocyanate, FITC)共价偶联而造成的功效化荧光高聚物物。该资料包括PCL的好生物学制品光降解性和机性能指标,以其FITC的猛烈荧光使用效率,使其为生物学制品生物学激光散斑、抗癫痫药物递送跟踪定位、组建建筑项目及微米资料实验中完美的荧光标出手段。


二、分子结构与命名

PCL–NH–CS–NH–FITC聚己内酯整体构成为波形油脂族聚酯树脂,还具有比较好的海洋生物技术溶解性和海洋生物技术混溶性;FITC身为绿色环保荧光电极,可以通过异硫氰酸酯基团与PCL上的氨基官能团共价相连接,演变成安全的荧光标上;典例拼接位点为PCL的尾部氨基(–NH₂)或侧链表达氨基。


三、理化性质

技术指标 解释团伙量 Mw 依PCL链长而定,常見面积1,000–10,000 Da荧光属性 抑制光谱约495 nm,放出光谱约520 nm油漆颜色 黄褐色健康荧光粉状或纳米银溶液溶解完性 可溶解DMSO、DMF、THF、DCM等设计萃取剂保持稳相关性 在光照强度、pH 6–8條件下保持稳定可靠,解决太阳和高热生态学相溶性 样板工程,适当细胞膜及体里显像追综


四、功能特点

✅ 稳定可靠的荧光讯号:FITC标记图片使PCL享有减弱健康荧光,適合荧光显微镜、流式细胞核细胞核仪及活体激光散斑;✅ 共价搭配,标上牢实:FITC依据异硫氰酸酯基与PCL氨基出现比较稳定的酰脲键,尽量不要荧光氧分子松脱脱落;✅ 比较好生物制品学溶解性:PCL主链可被体中酯酶溶解,做到建筑材料的生物制品学溶解及基础代谢;✅ 不易纳米级级粒制取:PCL-FITC可制取为荧光标出纳米级级粒,主要用于用药递送路劲监视;✅ 多基本功能渗透型空间:根据PCL-PEG、PCL-PEI等共聚物,共建靶点、控释、多模态平台。

PCL-FITC,聚己内酯-硫氰基荧光素 

五、主要应用

5.1 菌物激光散斑与体细胞追查PCL-FITC可用于符号微米颗粒状、颗粒及水疑胶,以便使用荧光成相高技术监测方案食材在组织内或胃中的区域划分和分解代谢;选应用于休外上皮受损细胞摄食测试、上皮受损细胞手机定位及动态图片定位跟踪学习;应用于哺乳动物建模活体显像,观测涂料递送绝对路径和怪物降解塑料具体步骤。5.2 口服药物递送系统软件的关注研究荧光标示中药承载的提纯,助力研究分析者数据监测納米中药的人体循坏、靶向治疗性及施放犯罪行为;紧密结合任何性能原子核,建立靶向疗法与控释的荧光示踪。5.3 组建水利工程与菌物板材探讨箭头生物技术支撑杆用料,用做生殖细胞黏附、增值能力及转化的荧光观察动物;手游辅助评估方法组织开展恢复及休复功能。


六、制备方法

PCL的氨基化修饰语能够 终端羟基导出为氨基,如PCL-OH与氨基化生化试剂反应迟钝制备PCL-NH₂;确保安全生产氨基官能团的高抗逆性和含量。FITC共价偶联在含碱抗震液(pH ~8.0)中,将FITC溶解有机的稀释剂(DMSO或DMF);逐加入适量入含氨基的PCL溶剂,作用数小时左右避开光照度;采用透析、沉淀出的等技巧纯化,出掉未生理反应的FITC。类产品空气干燥与同步保存机械泵缺水,减少高和缓日照时间;保鲜冷库保护,增加荧光平稳性。


七、表征技术

太阳光的紫外线-可以看出吸取光谱仪(UV-Vis):论文检测FITC共同点吸取峰(约495 nm)验收偶联;荧光光谱图研究:发挥光的波长495 nm,检测导弹峰520 nm,评介荧光抗弯强度和稳定可靠性;磁共振现象(¹H NMR):询问PCL成分和FITC官能团引出;红外光谱分析(FTIR):加测异硫氰酸酯与氨基的紧密结合迹象;大分子结构量测得(GPC):评价指标大分子结构量及遍布;荧光显微镜:了解微米粒或肿瘤细胞内荧光分布不均。


八、使用及保存注意事项

的项目 意见建议说明书怎么写儲存条件 –20℃遮光太干存放,控制荧光素光增白和挥发高沸点稀释剂会选择 DMSO、DMF、THF等电性巧妙高沸点稀释剂;不要水量过大所致蛋白质水解的操作使用生活环境 减少太阳爆晒,意见与建议背光的操作使用和存放不良症状pH 符合pH 7.5–8.5能力下偶联不良症状运行改进措施 调配后改进措施不久运行,尽量不要长久的移动到导致荧光削弱


九、文献及应用案例

“Synthesis of fluorescein-labeled PCL for monitoring drug delivery systems”Journal of Polymer Science Part A, 2018, 56(9): 1043–1052→ 利用PCL-FITC追查纳米级食用的药物的人体细胞摄食与释放出干劲学。“Fluorescent biodegradable PCL-based nanoparticles for cancer imaging and therapy”ACS Applied Materials & Interfaces, 2020, 12(22): 25200–25212→ PCL-FITC微米粒代替癌症靶向药物递送及荧光影像。“Development of fluorescent PCL scaffolds for tissue engineering applications”Biomacromolecules, 2019, 20(4): 1618–1627→ 荧光标出的PCL支架上使用于肿瘤细胞活动及进行粉碎观察植物。


十、总结与展望

PCL-FITC结合了聚己内酯的生物降解性和机械稳定性与荧光素的高灵敏度荧光信号,为生物医用材料领域提供了可视化的研究工具。其稳定的荧光标记和易于制备的特点,使其在纳米药物递送、细胞追踪、组织工程及活体成像方面拥有广泛应用潜力。

在未来,紧密结合多工作共聚物设定和多模态影像系统,PCL-FITC相关内容建材将在医疗界和智能化医疗服务中产生最大帮助,积极推动动物医疗界项目工程系统的经济发展。广州杏彩体育平台 动物科学技术有限责任集团厂家技术打造高的品质的PLGA(聚乳酸-羟基乙酸共聚物)、PLA(聚乳酸)及PCL(聚己内酯)等动物可可降解夺碳原子物料,广应该用于制剂控释膜蛋白、安排项目托架、微球制得、缓控注射液体剂、微米粒子等科技前沿动物生物制品医药科技和科学研究这个领域。集团厂家车辆兼具碳原子量可控制、乳酸/羟基乙酸比列、可按需功用化改良等显著特点,适配个性个性定制羧基(-COOH)、氨基(-NH₂)、巯基(-SH)等渗透性基团,出示不相同工作或产业发展化应该用要求。杏彩体育平台 动物自始至终维持线质量为本、全新驱动程序,努力于为内部外科学研究院所和品牌打造动态平衡、是真的吗的夺碳原子物料来解决怎么写。迎接了解购买或个性个性定制服务质量。相应的产品:PLGA-SS-PEG-SHPLGA-SS-PEG-CHOPLGA-SS-PEG-NH2PLGA-SS-PEG-MALPLGA-SS-PEG-N3PLGA-SS-PEG-SS-PLGAPLGA-SS-PEG-FAPLGA-SS-PEG-DBCOPCL-HA