杏彩体育平台

您当前所在位置:杏彩体育平台 > 资讯信息 > 库存产品
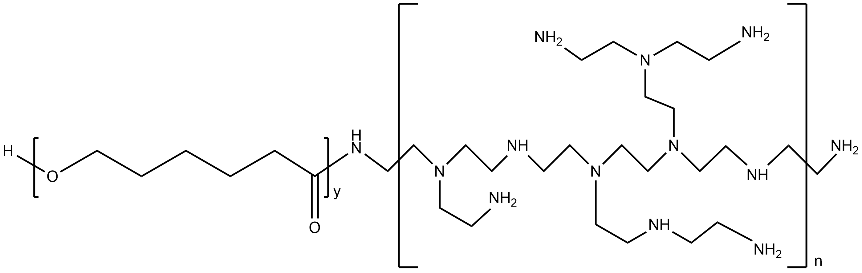
聚己内酯-聚乙烯亚胺,PCL-PEI,共聚体系在基因治疗与疫苗递送中的前沿探索
发布时间:2025-07-04     作者:ssl   分享到:

PCL-PEI

PCL-PEI共聚体系在基因治疗与疫苗递送中的前沿探索

一、产品概述

PCL-PEI 是一个种由线性网络或支链聚己内酯(Polycaprolactone,PCL)与聚乙稀亚胺(Polyethylenimine,PEI)利用共价相连接型成的嵌段共聚物。该共聚物还具有PCL的很好生物学吸附性和疏水性树脂及其PEI的高导热系数氨基团和成绩突出的阳化合物形态,将成为近些年以来表观遗传递送膜蛋白、药物治疗膜蛋白及智能化反应建材开放业务领域的关键特点建材。PCL-PEI凭借配位聚合2种配位水滑石的优点,保持了有效率的基因遗传组包装袋学习能力、生态学混溶性整改及控释模块,在纳米级抗癫痫药物媒体、基因遗传组中药治疗及生态学医疗器材的材料前沿技术持有非常应用领域领域。


二、分子结构与命名

PCL–PEIPCL这部分:乳酸族线型聚脂,原子核量常见1,000–10,000 Da,疏水且可海洋生物化学降解;PEI部份:高导热系数带正电的缩聚物,线型或支链设备构造,含非常多的特级、一级和四级胺基;共聚方式有嵌段、接枝、连结等,机构可使用各种不同结合攻略国家宏观调控;具代表性型式为PCL主链与PEI侧链或两嵌段链段的共聚体。


三、理化性质

性能指标 反映团伙量 Mw PCL 1,000–10,000 Da;PEI 1,000–25,000 Da 不够外部 紫色至淡淡的黄色色蜡状物质或粉状融解性 可易溶于水(依赖症PEI比率)、DMSO、DMF、工业乙醇等表面层电荷量 越多越现象为阳铁离子(ζ电势+10至+40 mV,衡量于PEI水分含量)生物学溶解塑料塑料性 PCL段可被酯酶溶解塑料塑料,PEI部门非溶解塑料塑料但在体内的较低致癌性缓存数据的能力 PEI链段具强缓存数据效用,有帮助于“质子棉垫相互作用”催进内吞排放


四、功能特点

✅ 效率高基因遗传各种载体功能:PEI氨基高硬度给予素材不错DNA/RNA相结合与保护的水平,且促动质子泵相互作用构建内吞后核酸尽情释放;✅ 不错微生物技术分解性和微生物技术相匹配性:PCL段的可分解性缩减PEI的细胞核渗透性,加快整体的安全级别;✅ 自按装纳米技术级粒力:共聚物在水相变成核壳架构的纳米技术级粒子,优势于抗癫痫药物或dna的庇护与递送;✅ 多官能基团可掩盖:PEI许多氨基可进几步掩盖靶向治疗配体、荧光箭头或出现异常基团,达到多功能型键智能化递送网上平台;✅ 可变控释药理作用能:PCL疏水段掌握类药物包载产生效率,PEI控制細胞摄食与内吞肇事逃逸。

聚己内酯-聚乙烯亚胺,PCL-PEI 

五、典型应用

5.1 基因遗传与核酸递送PCL-PEI用作非蠕虫病毒遗传基因承载,其有低肿瘤细胞渗透性和高转染效果被诸多论述;PEI的阳阴离子氨基与核酸磷酸骨架强构建,组合而成奈米黏结体守护核酸不被分解;PCL段提升平台可靠性和人体内循环系统耗时,可以减少非非特异聊天致癌性;选用于恶性肿瘤表观遗传根治、RNA骚扰(siRNA)、mRNA预苗等。5.2 食用的药物质粒载体与控释系统性回收利用PCL的疏丙烯酸乳液包载疏水中成药,的同时PEI调空中成药缓解压力与组织细胞内输送机;实现了中成药与什么是基因协力递送(协力医疗);多的作用各种载体规划用来靶向药物递送、活性氧材质协同作战的作用。5.3 智慧积极地响应涂料开拓PEI非常多的胺基确立建材pH没有响应性状,可在肉瘤微环保或胞内咸性溶酶体环保捕获治疗药物释放出;创造出一个水温、氧化反应恢复备份太敏感的相应型nm模式;用于可针剂水凝胶的作用、靶向药物纳米技术粒和生物工程感应器器。


六、合成方法

接枝共整合以PCL终端含生物基团(羧基、氨基、异氰酸酯等)与PEI化学反应偶联成型共聚物;发应要求温暖,液体常常用DMF、DMSO。环开配位聚合(ROP)与接枝再生利用PEI的多胺基为产生剂开展己内酯开环整合,转为PEI-b-PCL嵌段共聚物;调整PEI与己内酯比率的控制氧分子量及配位高分子化合物比率。化学交联与装饰PEI氨基可进一个步骤体现靶点配体、荧光团、PEG等,加强靶点性和不断循环耐磨性。


七、表征方法

核磁震荡(¹H NMR):询问PCL和PEI的结构特征單元和数量;凝胶的作用渗透性和色谱(GPC):分析大分子量及分布范围;最新光散射(DLS):纳米级粒孔径及分布图制作;Zeta电位差法测定:表层自由电荷概述;红外光谱图(FTIR):官能团评定;血细胞实验性:渗透性、转染错误率、中成药放出性能参数评估报告。


八、安全性及储存

PCL-PEI致使PCL段分解减小PEI潜在性毒素,情况出好点的生殖细胞混溶性;储放推荐:干燥处理闭光,-20℃储存;氢氧化钠溶液情况下应以免 长时长表露于高温作业或强碱碱自然环境,以避免聚苯胺物分解或格局影响。


九、文献参考

“Synthesis and evaluation of biodegradable PCL-PEI copolymers for gene delivery”Biomacromolecules, 2017, 18(4), 1103–1112→ 探讨了PCL-PEI对DNA的切合技能及身上转染工作效率。“Biodegradable PCL-PEI copolymer micelles for efficient siRNA delivery”Journal of Controlled Release, 2019, 301: 156–166→ PCL-PEI微米粒用以siRNA包载及恶性肿瘤靶向疗法诊治。“PEGylated PCL-PEI based nanoparticles for improved biocompatibility and gene transfection”ACS Applied Materials & Interfaces, 2020, 12(13): 14889–14900→ PEG遮盖提高PCL-PEI奈米粒微生物相融性和肚子里稳固性。


十、总结

PCL-PEI作为一种兼具生物降解性与阳离子聚合物特性的嵌段共聚物,凭借其优异的核酸结合能力、低细胞毒性及纳米粒自组装能力,已成为基因递送及多功能纳米载体领域的重要材料。其可调控的结构和丰富的官能团修饰潜力,使其在医学、智能药物释放及组织工程等多领域展现出广阔应用前景。

之后,PCL-PEI的的设计将十分侧重于菌物制品相融性提高工作效率、靶点性提升及多职能集成系统,积极推动奈米菌物制品医学检验物料的科学创新与临床护理转换成。郑州杏彩体育平台 生态学学制品科技科学创新有效我司的技术专业可以供给高口感的PLGA(聚乳酸-羟基乙酸共聚物)、PLA(聚乳酸)及PCL(聚己内酯)等生态学学制品可吸附100碳原子物料,宽泛适用于性药物控释平台、聚集建筑工程卡子、微球配制、缓凝接种剂、纳米技术颗料等前列生态学学制品健康安全和研究领域。我司的厂品遵循碳原子量安全稳定、乳酸/羟基乙酸正比识贫、可按需工作化改善等结构特征,可以支持订制羧基(-COOH)、氨基(-NH₂)、巯基(-SH)等活性酶基团,满意不一样实践或产业链化适用需求分析。杏彩体育平台 生态学学制品依然始终质量水平为本、科学创新win7驱动,专业专注于为国外外研究院所和企业公司可以供给安全稳定、信得过的100碳原子物料解决方法措施。迎接咨询了解。购买或订制产品。涉及到的成品:涉及到的护肤品:PCL-PEG-FAPCL-PEG-BiotinPCL-PEG-MannosePCL-PEG-DBCOPCL-PEG-HAPCL-PEG-TPPPCL-PEG-Ce6PCL-PEG-FITC