杏彩体育平台

您当前所在位置:杏彩体育平台 > 资讯信息 > 库存产品
磷脂-聚丙烯酸5000偶联物,​DSPE-PAA5000,DSPE-PAA高分子修饰脂质
发布时间:2025-06-25     作者:ssl   分享到:

DSPE-PAA5000,DSPE-PAA高分子修饰脂质

一、产品概述

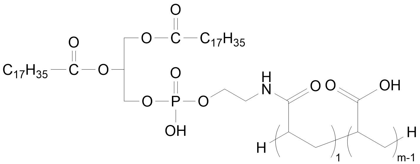
护肤产品称谓称:磷脂-聚丙烯酸酯5000偶联物国外英文名字稱:DSPE-PAA5000 (1,2-Distearoyl-sn-glycero-3-phosphoethanolamine-polyacrylic acid 5000)通称:DSPE-PAA5000原子核量:聚亚克力 (PAA)区域约5000 Da,纵向原子核量视偶联高效率稍有距离外在:淡淡的黄色色至小白粉尘充分均匀溶解性:好的的水阴离子型,特别在酸碱度水平下特征非常好;不混溶非旋光性生物碳液体留存状况:皮肤干燥填料密封,–20°C闭光留存,避免 水解反应及分解含量:≥95%,经由GPC、NMR、FTIR等机制加测认定 

二、分子结构及功能特点

1. DSPE一部分含好几个呈现饱和状态的硬脂酸长链,搭建分子式疏水段,能增强植入脂质两层;磷脂酰乙酸乙酯胺正负极脑袋不便于与缔合物链偶联及与水大环境间接效果。2. PAA(聚亚克力)这部分水可溶性夺团伙型式,型式为海量羧基(-COOH)官能团的曲线汇聚物,团伙型式量约5000 Da;羧基在不一样的pH下特征不一样的带电粒子心态,pH高时呈负带电粒子,具好缓冲区性和回应性;可以选择于表面上遮盖、制剂紧密联系、化合物交換及作各种载体建材。3. 偶联性能DSPE能够共价键与PAA偶联,达成两亲性碳原子,具有脂质添加性和聚合反应物亲丙烯酸乳液;两亲结构特征设计使其在水相中自組裝为奈米结构特征设计,具备着比较好的比较强度处理和用途能自由调节性。

磷脂-聚丙烯酸5000偶联物,DSPE-PAA5000 

 

三、理化性质

主要参数 证明分子式量 PAA部位约5000 Da,纵向要根据偶联状况发展外装 淡黄色至灰白色粉未溶化性 优质水可溶,尤其是是在pH>5环境下纯净度 ≥95%(可以通过GPC、NMR、FTIR等证实)永久永久保存必备条件 潮湿闭光,–20°C永久保存 

四、产品特点与优势

1. 两亲性分子的结构的结构DSPE供给疏水长链,放入脂质多层养成安全成分;PAA充当亲水好成绩子链,促进水无水磷酸氢和外观装饰业务能力。2. pH反应特征参数PAA羧基在与众不同pH必要条件下可过滤或放出质子,诠释产品pH为了响应性;在生理学及病理报告条件(如癌肿微的环境含酸性)下,可以调节节平台的接触面电势及溶解性性。3. 优异的生态学相溶性DSPE及PAA均为业物相溶板材,适用于菌物医疗器械应用软件;PAA能以为口服药品分子结构整合点,达成口服药品环境下和控释。4. 稳定性的纳米级型式演变成力自安装成微米科粒,比表面积调节控,具很好的减少性和可靠性;时候当做纳米级各种媒介表面能体现层,延长各种媒介比较稳明确及能力化。 

五、应用领域

1. 纳米级药物治疗平台单单从表面体现使用脂质体、微米粒等药物治疗承载的外面增韧,加快承载的安全性和生物学相融性;PAA的羧基可与口服药物、靶点配体或另外的职能氧分子共价或者是非共价相结合。2. pH回应性药品宣泄系统凭借PAA的pH敏锐性能设计构思智慧膜蛋白,保证 病灶连接口服药物的选取性挥发释放;有助于、肺部肿瘤或宫颈炎症靶向药物诊疗。3. 生态学村料及企业工程建筑为组织细胞系锻炼基或进行项目 安装支架的工作化含量,改善板材亲水性聚氨酯和组织细胞系相融性;监测组织粘接和生长的。4. 外观突显及增强剂在脂质nm粒的表明热塑性树脂,防范非特情人活性炭吸附和聚在一起,拉长自身无限循环耗时。 

六、制备及使用建议

1. 充分均匀溶解性与发散性DSPE-PAA5000可溶水水,特别是在是中性化至酸碱度条件,溶解性时可略微进行加热或mri加速分散型;不意见与建议用非化学性质溶液溶水,避免缩聚物链聚积。2. 纳米级颗粒剂制作可用为脂质体或nm粒外表面掩盖类物质,与各种脂质共混匀称后制得nm各种载体;选择塑料薄膜水化、超声清洗或抽出等能力兑换长宽高均一的纳米级小粒。3. 配伍及保存禁止与强硫化剂或非常pH水溶液分层,为防汇聚物链折断;提倡–20°C干燥处理阴凉存储,调长重型货架期。 

七、注意事项

要注意议题 情况说明吸收的条件 –20°C阴凉空气干燥,以防蛋白质水解与化学降解基本工作安会 规避吸到粉层,试验基本工作时配戴乳胶手套和防护口罩pH的敏单纯 聚亚克力要素pH的敏感度,强氧化剂强氧化剂区域将引发整合物组成部分变迁容剂采用 建意水相或电性容剂,以防非电性容剂 

八、技术指标(示例)

建设项目 规格参数表明外装 浅黄色色至黑色粉化溶解度 ≥95%(GPC、NMR认定)氧分子量 PAA约5000 Da,整体的据偶联时候与众不同溶解完性 积极水可溶,独特在pH5-8领域储放必备条件 –20°C干燥的闭光密封性包装盒规模 5 mg、10 mg、25 mg等 

九、相关文献参考

Deng Z. et al. pH-responsive polymeric nanoparticles based on poly(acrylic acid) for drug delivery. J Biomater Sci Polym Ed, 2015.Zhang L. et al. Surface modification of liposomes with poly(acrylic acid) for improved stability and drug delivery. Colloids Surf B Biointerfaces, 2017.Lee S. et al. pH-sensitive polymer-lipid conjugates for cancer-targeted drug delivery. Biomacromolecules, 2019.Wang Y. et al. Poly(acrylic acid)-based nanomaterials: synthesis and biomedical applications. Adv Mater, 2020. 

十、总结

DSPE-PAA5000是一种兼具脂质双链结构和功能性聚丙烯酸亲水链的两亲性偶联物,结合了脂质的生物膜嵌入性和PAA的pH响应特性。其独特的结构赋予产品优良的水溶性、生物相容性及智能响应能力。

该商品广泛性应该用于奈米肿瘤用量质粒质粒外表面遮盖、智能化控释软件及怪物物料这个领域,合理提拔质粒质粒比较稳相关性、肿瘤用量减少可控制性及靶向疗法能。DSPE-PAA5000为高效益、健康的奈米生物学及物料科学课研究展示了必要生产工具。 兰州杏彩体育平台 菌物技术科技创新限制总部针对于优质安全性能聚乙二醇(PEG)试述延伸物技术的研发项目管理与生產,提高包含直线PEG、支化PEG、多官能团PEG、嵌段共聚物PEG等其中的多类基础理论设备构造服务培训,范围广技术使用于菌物技术健康安全、初步判断化学式试剂、微米材质及化学式聚合等范畴。总部有迟钝的开放程度,可利用用户的供需提高某原子核量(200–20,000 Da)、官能团(如-NH₂、-COOH、-SH、-N₃、-Biotin、荧光图标等)及不同于设备构造的PEG体现服务培训。凭着高端的聚合软件与严要求的安全性能管控保障体系,杏彩体育平台 菌物技术秉承于为成果转换成、治疗药物开放和材质技术使用提高靠得住、稳定可靠、可追述的PEG消除规划,鼓励用户控制从探析室探析到产业发展转换成的各项的供需。企业:渭南杏彩体育平台 动物科技开发有现机构使用:科学研究模式:固态物体/纳米银盐溶液/盐溶液產地:深圳幸福语音提示:只供科研工作,是不能代替身休科学实验!重要性产品的:DSPE-PEG2000-β-cyclodextrinDSPE-PEG2K-PEI1200DSPE-PEG5000-ADADSPE-PE2000-L-HisDSPE-PE2000-benzenesulfonamideDSPE-PEG2000-5-HTDSPE-PEG4-TetrazineDSPE-PEG2000-endo-BCNDOPE-Dansyl chlorideDSPE-PEG2000-Rhein