杏彩体育平台

您当前所在位置:杏彩体育平台 > 资讯信息 > 库存产品
DOPS-MPEG2000:表面调控与生物膜模拟的双功能磷脂材料
发布时间:2025-06-25     作者:   分享到:
DOPS-MPEG2000

DOPS-MPEG2000:表面调控与生物膜模拟的双功能磷脂材料

一、产品基本信息

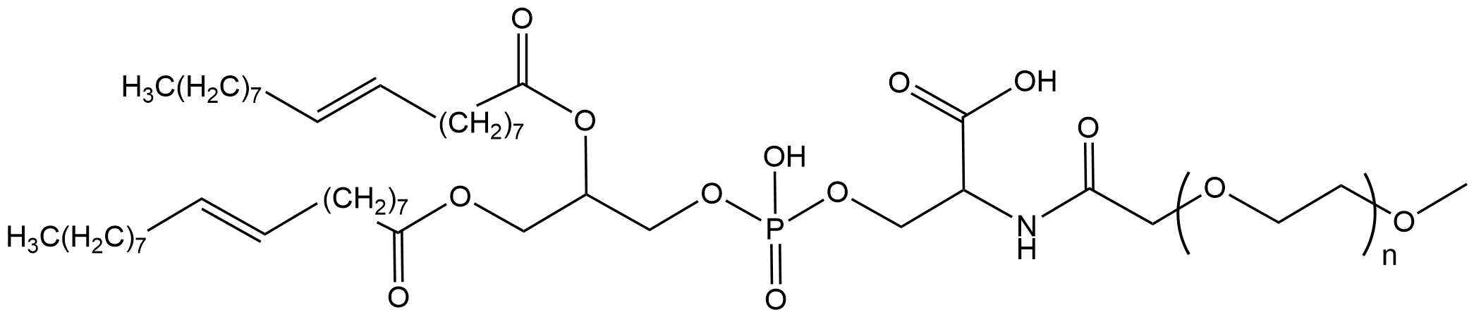
简体中文简称:DOPS-MPEG2000因为品牌:1,2-Dioleoyl-sn-glycero-3-phospho-L-serine-methoxy(polyethylene glycol)-2000简写名字:DOPS-mPEG2000 或 DOPS-PEG2000-Me组合而成组成:DOPS(1,2-二油酰-sn-甘油-3-磷酸-L-丝氨酸)与mPEG2000(甲氧基聚乙二醇)用共价键对接氧分子量:约2800–3200 Da(PEG链为2000 Da)外形:暗红色至类暗红色蜡状固体颗粒或冻干金属粉水解性:不能溶解氯仿、DMSO、酒精等生物碳高沸点溶剂,在河中建立胶束或脂质体型式补充前提:-20°C干燥的阴凉保管,填料密封隔潮 

二、结构组成与化学特性

DOPS-MPEG2000 是一种种效果化的两亲性磷脂衍生品物,可分为以下三个效果框架单无:DOPS(1,2-Dioleoyl-sn-glycero-3-phospho-L-serine)有着几个不饱合皮脂酸链(油酸,C18:1),流通性强,非常适合行成柔韧脂质体或神经元膜模以设备构造。丝氨酸头号代有负自由电荷,也是种绿色有于组织膜后侧的磷脂,使用于模拟仿真凋亡走势或实验免疫性自我调节。PEG2000(聚乙二醇,分子结构量2000)提供数据好的水无水磷酸氢与发展空间可靠性,能阻拦奈米颗粒物间汇聚,从而提高外周血循环往复时间段。表面层PEG化还能少血浆淀粉酶吸出(“伪装因素”),减少怪物相匹配性。mPEG端基(Methoxy-PEG)后部甲氧基封端,无催化活性官能团,普通机械惰性,中用于融合平稳包膜。可以免 与另一反响灵活性原子会发生从不要的偶联或可降解。 

三、理化性质

大型项目 讲述或数据分子结构量面积 2800–3200 Da(决定于PEG的地域分布面积)疏水链构成 2 × C18:1(油酸)亲水链总长 PEG45(约2000 Da)正电荷经营性质 负电性(由丝氨酸头后供应)可溶性高,溶水水的性 比较好溶水有机酸石油醚,可吸附于水底出现自组装流水线构成从表面电势 经常为负电,在碱式盐因素下约 -30~-50 mV

DOPS-MPEG2000 

四、产品优势

天然水脂质发展、低毒素DOPS 來起源于非天然磷脂的构成,的构成人身安全,具备条件保持良好的生物工程相匹配性。外表PEG呈现,改善身体里稳定可靠性PEG2000 的具有会使DOPS-MPEG2000 都可以于长嵌套循环奈米食用的药物的设计,上升脂质体在血液循环系统中的增强性和半衰期。电势宏观调控、养成生物技术膜致使DOPS的丝氨酸成分出示了负电势,使其在在校园营销推广活动的环节之中所构建肿瘤细胞结构模板、学习膜淀粉酶活动、接触面电势缓解等这方面兼备优势。构筑挺括、还是粘性性积极的脂质体双不是处于饱和状态肌肉酸底部使其膜型式具有正常的柔滑性,最适合构筑积极响应型、可调形、pH过敏型脂质体。 

五、应用方向

1. 长间歇脂质体/微米a粒子搭配DOPS 展示 磷脂骨架,mPEG2000 展示 隐藏作用最常见于建设方案食用的药物质粒、RNA/siRNA递送系统化、预苗质粒2. 抗体改善涉及实验DOPS 是免役細胞核辨识凋亡細胞核的重要性图标,广泛用于模拟仿真 PS(磷脂酰丝氨酸)外跨过程可以用于论述“吃我”网络信号与巨噬细胞膜摄入管理机制3. 构筑人工客服电话受损细胞质对模型结合实际DOPC、DOPE等构筑仿生学脂两层构成,采用膜蛋清构建、脂筏科研、药品穿膜体制科研4. 奈米医疗与用药递送时候使用于表达纳米技术技术颗粒(如金纳米技术技术颗粒、缩聚物颗粒、磁珠等),给其负电外表面与增强背包层5. 脑靶向疗法/免疫检测交通逃逸形式制作在媒介表层出示 PEG 包膜框架,减退免疫细胞甄别;若融入靶向治疗配体(如抗原、肽),可以用于脑或淋巴肿瘤递送设备 

六、使用方法建议

1. 脂质体系备网友推荐与DOPC、Chol、DSPE-PEG等脂质共混,DOPS-MPEG2000 掺加数量一样为 1–10 mol%准备具体方法可选装择:保护膜水化法、溶液灌入法、逆相化掉法等如需进三步效果化,可与其它的突显脂质(如DSPE-PEG-Biotin、DSPE-PEG-FITC)联动操作2. 放置与熔化分解安利溶水氯仿或DMSO放置于小分瓶中(环境温度阴凉)水相关用前可先不溶DMSO或工业乙醇后过慢传递自来水中,密切配合高周波分散性建立不稳定性胶束或脂质体结构类型


七、注意事项

PEG数据终端为惰性甲氧基,难以进那步偶联活力性基团,满足中用表面上关闭,但不满足中用共价呈现不要用来强阳极氧化的性标准,不过饱和碳水化合物酸底部易受阳极氧化的,分享在惰性气体或惰性积极性下保存图片与正电性物资配置比例宏观调节:用做siRNA或血清递送体统时,可与阳正离子脂质(如DOTAP、DODAP)推进用到,宏观调节布局外壁电势和转染作用避免出现致使反复冻融:会摧毁脂质体或自拆卸结构设计齐全性 

八、订购信息(示例)

工作 文章物料简称 DOPS-MPEG2000色度 ≥95%(HPLC)木箱样式 5 mg / 10 mg / 25 mg / 订制吸收标准 -20°C,干燥处理背光提供了内容 COA、质谱图、HPLC图、MSDS、安全管理运载企业信息CAS号 相对规衍生物物,无法显示独特CAS溶液意见 氯仿、DMSO、甲醇,河道景观中生成胶束 

九、总结

DOPS-MPEG2000 是一款集“天然负电脂质骨架 + PEG稳定屏蔽层”于一体的功能化磷脂衍生物,在构建长循环脂质体、生物膜模型、凋亡信号模拟、纳米药物递送系统等方面具有广泛应用价值。其良好的生物相容性、柔软的膜结构、电荷特性与 PEG 屏蔽性能,使其成为构建智能纳米药物系统的理想原料之一。

 广州杏彩体育平台 海洋生态学现代科技比较有限工司专一于高护肤品品质聚乙二醇(PEG)下列关于衍海洋生态学的研发培训与产出,带来主要包括规则化PEG、支化PEG、多官能团PEG、嵌段共聚物PEG等以内的很多种核心设计护肤品,具有广泛性应用软件于海洋生态学医疗、检验制剂、奈米村料及电学炼制等各个领域。工司应有轻松的定制网站业务能力,可按照其老合作方意愿带来当前分子组成量(200–20,000 Da)、官能团(如-NH₂、-COOH、-SH、-N₃、-Biotin、荧光标志等)、其他设计的PEG绘制服务于。仰仗优秀的炼制的平台与须严格的产品质量管控管理体系,杏彩体育平台 海洋生态学坚持创新驱动于为科研项目、类药物制作和村料应用软件带来准确、比较稳定、可溯源的PEG防止计划书,搭载老合作方实现目标从科学试验室论述到文化产业转变成的各样意愿。制造商:北京杏彩体育平台 生物工程科学有效工司的主要用途:教育科研环境:无水硫酸铜/粉尘/饱和溶液生产基地:郑州温磬温馨提示:仅限于科技创新,未能用做我们身体测试!涉及到的品牌:DSPE-MPEG1KDSPE-MPEG2KDSPE-MPEG5KDSPE-PEG2000-TCODSPE-PEG5000-TetrazineDSPE-PEG2000-BiotinDSPE-PEG2000-Dopamine