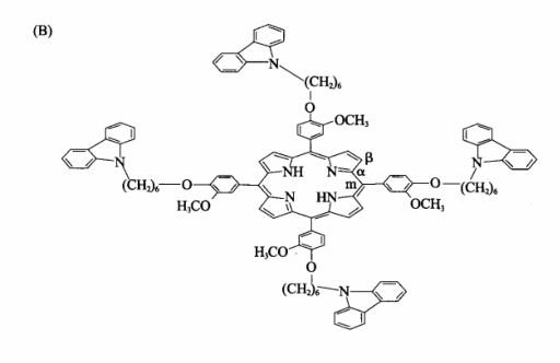
四-[3-甲氧基-4-(N-咔唑)正己氧苯基]卟啉(4C6-TPP)
Meso-四(3-甲氧基-4-羟基)铽卟啉[T-(3-MO-4-HP)P-Tb],meso-四-(4-辛氧基-3-甲氧基苯基)卟啉(TOMPPPH2)
货号 | 规格 | 数量 | 价格 |
---|---|---|---|
Q-0085897 | 100mg |
1
|
询价采购 |
Q-0085897 | 250mg |
1
|
问价 |
Q-0085897 | 500mg |
1
|
问价 |
Q-0085897 | 1g |
1
|
邀请招标 |
Q-0085897 | 5g |
1
|
问价 |
快速订购/大包装咨询
安小彩销售经理

业务范围:小分子PEG | ADC抗体 | 大环类 | 抑制剂 | 高分子 |
如该产品产生售后问题,请联系我们:
产品介绍
西安杏彩体育平台
生物科技有限公司生产销售“四-[3-甲氧基-4-(N-咔唑)正己氧苯基]卟啉(4C6-TPP)”“Meso-四(3-甲氧基-4-羟基)铽卟啉[T-(3-MO-4-HP)P-Tb],meso-四-(4-辛氧基-3-甲氧基苯基)卟啉(TOMPPPH2)”,该产品仅用于科研,如果需要请联系我们

参数信息 | |
---|---|
外观状态: | 固体或粉末 |
质量指标: | 95%+ |
溶解条件: | 有机溶剂/水 |
CAS号: | N/A |
分子量: | N/A |
储存条件: | -20℃避光保存 |
储存时间: | 1年 |
运输条件: | 室温2周 |
生产厂家: | 西安杏彩体育平台 生物科技有限公司 |
相关产品
- Cu磺化酞菁钴(CoSPc)额定负载型灵活性炭吸附,存贮生活条件:2-8°C阴凉、干热,杏彩体育平台 海洋生物供应商轻金属酞菁,特点性酞菁,光敏酞菁,电物理化学酞菁,荧光酞菁等等等等的产品定制开发提供服务
- cRGD靶向药物肽呈现硅酞菁光敏剂,保存必备条件:2-8°C遮光、干燥处理,选用于其中包括光敏产品、怪物符号、荧光探头孩他
- meso-四(3-氯-4-羟基-5-甲氧基苯基)卟啉[T(3Cl-4H-5MOP)P],卟啉[四-(三-甲氧基-四-羟基)苯基]-锌卟啉(全称T(3-MO-4-HP)P-Zn)
- 保证5-(4-硝基苯基)-10,15,20-三苯基卟啉(NTPPH2),5-(4-氨基苯基)-10,15,20-三苯基卟啉(ATPPH2)