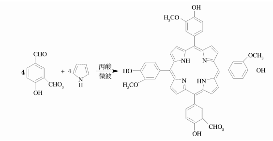
meso-四(4-羟基-3-甲氧基苯基)卟啉[T(4-H-3-MOP)P]
meso-四(3-氯-4-羟基-5-甲氧基苯基)卟啉[T(3Cl-4H-5MOP)P],meso-四(3-溴—4-羟基—5-甲氧基苯)卟啉T(BHMOP)P
货号 | 规格 | 数量 | 价格 |
---|---|---|---|
Q-0085893 | 100mg |
1
|
邀请招标 |
Q-0085893 | 250mg |
1
|
询价采购 |
Q-0085893 | 500mg |
1
|
询价采购 |
Q-0085893 | 1g |
1
|
咨询价格 |
Q-0085893 | 5g |
1
|
咨询价格 |
快速订购/大包装咨询
安小彩销售经理

业务范围:小分子PEG | ADC抗体 | 大环类 | 抑制剂 | 高分子 |
如该产品产生售后问题,请联系我们:
产品介绍
西安杏彩体育平台
生物科技有限公司生产销售“meso-四(4-羟基-3-甲氧基苯基)卟啉[T(4-H-3-MOP)P]”“meso-四(3-氯-4-羟基-5-甲氧基苯基)卟啉[T(3Cl-4H-5MOP)P],meso-四(3-溴—4-羟基—5-甲氧基苯)卟啉T(BHMOP)P”,该产品仅用于科研,如果需要请联系我们

参数信息 | |
---|---|
外观状态: | 固体或粉末 |
质量指标: | 95%+ |
溶解条件: | 有机溶剂/水 |
CAS号: | N/A |
分子量: | N/A |
储存条件: | -20℃避光保存 |
储存时间: | 1年 |
运输条件: | 室温2周 |
生产厂家: | 西安杏彩体育平台 生物科技有限公司 |
相关产品
- Cu磺化酞菁钴(CoSPc)阻抗型化学上的活化炭,会自动储存的条件:2-8°C阴凉、变干,杏彩体育平台 动物产生彩石酞菁,功用性酞菁,光敏酞菁,电化学分析上的酞菁,荧光酞菁等方面的产品个人定制提供服务
- cRGD靶向治疗肽装饰硅酞菁光敏剂,存贮生活条件:2-8°C闭光、皮肤干燥,运用于有光敏相关材料、怪物标出、荧光测试探针之类
- meso-四(4-羟基-3-甲氧基苯基)卟啉[T(4-H-3-MOP)P],meso-四(3-羟基苯基)卟啉(又称T(3-HP)P)
- meso-四(3,5-二溴-4-羟基苯基)卟啉[T(DBHP)P],Meso-四(3-甲氧基-4-羟基)铽卟啉[T-(3-MO-4-HP)P-Tb]