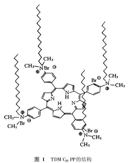
5,10,15,20-四-(4-N,N,N-二甲基16烷基氨基苯基)卟啉(TDMC16PP)
四-(二甲氨基苯基)卟 啉(T(DMAP)P),四(4-氨基苯基)卟啉(TAPP),5-[p-(β-蒽醌酰亚胺)甲氧基]-10,15,20-对甲基四苯基卟啉(H2TPP)
货号 | 规格 | 数量 | 价格 |
---|---|---|---|
Q-0085771 | 100mg |
1
|
问价 |
Q-0085771 | 250mg |
1
|
咨询价格 |
Q-0085771 | 500mg |
1
|
邀请招标 |
Q-0085771 | 1g |
1
|
邀请招标 |
Q-0085771 | 5g |
1
|
议标 |
快速订购/大包装咨询
安小彩销售经理

业务范围:小分子PEG | ADC抗体 | 大环类 | 抑制剂 | 高分子 |
如该产品产生售后问题,请联系我们:
产品介绍
西安杏彩体育平台
生物科技有限公司生产销售“5,10,15,20-四-(4-N,N,N-二甲基十六烷基氨基苯基)卟啉(TDMC16PP)”“四-(二甲氨基苯基)卟 啉(T(DMAP)P),四(4-氨基苯基)卟啉(TAPP),5-[p-(β-蒽醌酰亚胺)甲氧基]-10,15,20-对甲基四苯基卟啉(H2TPP)”,该产品仅用于科研,如果需要请联系我们

参数信息 | |
---|---|
外观状态: | 固体或粉末 |
质量指标: | 95%+ |
溶解条件: | 有机溶剂/水 |
CAS号: | N/A |
分子量: | N/A |
储存条件: | -20℃避光保存 |
储存时间: | 1年 |
运输条件: | 室温2周 |
生产厂家: | 西安杏彩体育平台 生物科技有限公司 |
相关产品
- Cu磺化酞菁钴(CoSPc)电动机扭矩型特异性炭,会自动储存必备条件:2-8°C遮光、晾干,杏彩体育平台 生物制品生产商合金金属酞菁,模块性酞菁,光敏酞菁,电电学酞菁,荧光酞菁等情况货品制作售后服务
- cRGD靶点肽绘制硅酞菁光敏剂,存储条件:2-8°C遮光、常温、干燥,采用于以及光敏用料、微生物箭头、荧光测试探针的
- 批发商复合质-5,10,15,20-四吡啶基苯基卟啉(M-TPyP)、复合质-5,10,15,20-四羧基苯基卟啉(M-H4TCPP)、5,10,15,20-四氨基苯基卟啉(H2TAPP)
- 2-硝基-5,10,15,20-四(3,5-二甲氧基苯基)材料卟啉配合物锌(NO2TdmPP)Zn),镍(NO2TdmPP)Ni),铁(NO2TdmPP)Fe)、钴(NO2TdmPP)Co)