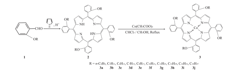
meso-四(邻烷氧基苯基)卟啉合钴(meso-T(2-ROP)PCo)
厂家直销5,10,15,20-四(对-第十六烷氧酰基)苯基卟啉配体(THPPH2),四(对烷氧苯基)卟啉(T(4-ROP)P),四-(对羟基苯基)卟啉[T(4-HP)P]
货号 | 规格 | 数量 | 价格 |
---|---|---|---|
Q-0085719 | 100mg |
1
|
询价采购 |
Q-0085719 | 250mg |
1
|
邀请招标 |
Q-0085719 | 500mg |
1
|
问价 |
Q-0085719 | 1g |
1
|
咨询价格 |
Q-0085719 | 5g |
1
|
咨询价格 |
快速订购/大包装咨询
安小彩销售经理

业务范围:小分子PEG | ADC抗体 | 大环类 | 抑制剂 | 高分子 |
如该产品产生售后问题,请联系我们:
产品介绍
西安杏彩体育平台
生物科技有限公司生产销售“meso-四(邻烷氧基苯基)卟啉合钴(meso-T(2-ROP)PCo)”“供应5,10,15,20-四(对-十六烷氧酰基)苯基卟啉配体(THPPH2),四(对烷氧苯基)卟啉(T(4-ROP)P),四-(对羟基苯基)卟啉[T(4-HP)P]”,该产品仅用于科研,如果需要请联系我们

参数信息 | |
---|---|
外观状态: | 固体或粉末 |
质量指标: | 95%+ |
溶解条件: | 有机溶剂/水 |
CAS号: | N/A |
分子量: | N/A |
储存条件: | -20℃避光保存 |
储存时间: | 1年 |
运输条件: | 室温2周 |
生产厂家: | 西安杏彩体育平台 生物科技有限公司 |
相关产品
- Cu磺化酞菁钴(CoSPc)根据型抗逆性炭,吸收要求:2-8°C背光、缺水,杏彩体育平台 怪物产生金屬酞菁,功效性酞菁,光敏酞菁,电普通机械酞菁,荧光酞菁等等这些车辆定制化工作
- cRGD靶向疗法肽装饰硅酞菁光敏剂,存放的条件:2-8°C背光、皮肤干燥,应用于涵盖光敏原料、菌物标签、荧光电极等方面
- 制造meso-四(4-硝基苯基)卟啉配体(H2TNPP),四-(前三氨基苯基)-卟啉(TTMAP),:meso-四-[4-(Boc-苏氨酸)氨基苯基]卟啉(TAPP-Thr-Boc)
- 带来了2-(4-N,N-二苯基)苯基-3,7,8,17,18-五甲基卟啉(TPAPMP),1,3-二(二苯基氯硅烷基)-2,2,4,4-四苯基环二硅氮烷(BPCTPC)