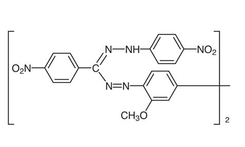
CAS:19333-63-2;二甲臢四硝基四氮唑兰
TNBT Diformazan;氧分子结构式:C40H30N12O10,氧分子结构量:838.75
货号 | 规格 | 数量 | 价格 |
---|---|---|---|
Q-0017758 | 100mg |
1
|
议标 |
Q-0017758 | 250mg |
1
|
询价采购 |
Q-0017758 | 500mg |
1
|
议标 |
Q-0017758 | 1g |
1
|
咨询价格 |
Q-0017758 | 5g |
1
|
问价 |
快速订购/大包装咨询
曹瑶销售经理

业务范围:AIE材料 | 荧光产品 | MOF产品 | 抑制剂 | 糖化学 | 纳米靶向
如该产品产生售后问题,请联系我们:
产品介绍
西安杏彩体育平台
生物科技有限公司生产销售“CAS:19333-63-2;二甲臢四硝基四氮唑兰”“TNBT Diformazan;分子式:C40H30N12O10,分子量:838.75”,该产品仅用于科研,如果需要请联系我们

参数信息 | |
---|---|
外观状态: | 固体或粉末 |
质量指标: | 95%+ |
溶解条件: | 有机溶剂/水 |
CAS号: | N/A |
分子量: | N/A |
储存条件: | -20℃避光保存 |
储存时间: | 1年 |
运输条件: | 室温2周 |
生产厂家: | 西安杏彩体育平台 生物科技有限公司 |
相关产品
- Schmorl反应迟钝法脂褐毒着色代液是策划 普通机械里常用的混后型着色液其中之一
- 本护肤品富含High-Fidelity DNA Polymerase,dNTP和优化系统的表现减慢液,密度为2 ×,测序学习能力强,测序网络速度比较快,都具有高正品保证性(正品保证性是rTaq DNA Polymerase的64倍),高特男人。
- Thymolphthalein Complexon;氧化学结构式:C38H44N2O12,氧碳原子量:720.77
- Auramine;4,4'-碳亚氨基双(N,N-二甲基苯胺)单硝酸盐;碳原子式:C17H21N3·HCl,碳原子量:303.83