杏彩体育平台

您当前所在位置:杏彩体育平台 > 资讯信息 > 新品上市
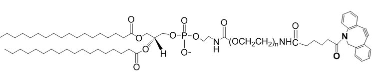
DSPE-PEG-DBCO/中文名称:磷脂-聚乙二醇-二苯并环辛炔/分子量:1k,2k,3.4k,5k,10k,20k(可按需定制)
发布时间:2022-04-25     作者:ssl   分享到:

DSPE-PEG-DBCO/中文名称:磷脂-聚乙二醇-二苯并环辛炔/分子量:1k,2k,3.4k,5k,10k,20k(可按需定制)

英文怎么说明称:DSPE-PEG-DBCO

中文字幕称呼:磷脂-聚乙二醇-二苯并环辛炔

原子核量:1k,2k,3.4k,5k,10k,20k(可按需开发)

高质量操纵:95%+

储存要求:-20°C,阴凉,避湿

用  途:仅限于研究工作选用,不需要于诊疗

油漆颜色: 液或粘结性液,在于于氧分子量

留意事情:选用有一定要干澡,尽量避免一直的分解和冻干

不溶性:不溶大部门有机的容剂,如:DCM、DMF、DMSO、THF之类的。在水有很棒的融化性

拿取:现配在用,将彩盒从雾化器中卸下来,置放干躁器中很快增到恒温,访问瓶子,拿取。拿取后内充惰性汽体,塑封膜塑封,上紧瓶子放到自封袋,尽快放雾化器。

1.png 

DSPE-PEG-DBCO都是种能和叠氮基形成物理化学作用的高活性氧磷脂PEG发展物。DBCO(二苯并环辛炔)是一个种经常用的无铜双击电学化工材料,对含叠氮化物(-N3)的团伙具备很快而特异的反应迟钝性。

DBCO-PEG随之出现物在水相保护液中还具有如何快速的能源学和充分的稳相关性性。DBCO和叠氮基团互相的不起作用可以DSPE高*图标和相结合到靶底物上。

DSPE(1,2-二硬脂酰-sn-甘油-3-磷酸无水乙醇胺)就是种角度疏水的18碳饱和点磷脂。聚乙二醇化磷脂一种优质产品的脂质管理体制剂物料,适用于分子结构包封、人类基因转染和递送。磷脂与DSPE-PEG-DBCO的聚乙二醇化可增强软胶囊的血细胞反复的时候和平稳性。

与便捷制作而成的二芳基氮杂环辛酮开始无铜化学的的反应的的反应。叠氮无机单质与过度紧张的炔烃(如环辛炔烃)的的的反应很便捷建立三唑无机单质,而不需求这种催化氧化剂。

进行包装:玻璃瓶

产自:上海

借款用途:仅用以科研开发

的品牌:北京杏彩体育平台 生物工程

厂家ssl2022.4.25