杏彩体育平台

您当前所在位置:杏彩体育平台 > 资讯信息 > 新品上市
PLGA-PEG-PLGA MW:5000/2000聚乙交酯丙交酯聚乙二醇聚乙交酯丙交酯
发布时间:2022-04-19     作者:ssl   分享到:

PLGA-PEG-PLGA MW5000/2000聚乙交酯丙交酯聚乙二醇聚乙交酯丙交酯

Poly(lactic-co-glycolic acid)-b-Poly(ethylene glycol)-b-Poly(lactic-co-glycolic acid) copolymers, (Mw ~ 200:5,000:200 Da LA:GA 65:35)

PLGA-PEG-PLGA

英文字母简称:Poly(lactide-co-glycolide)-block-poly(ethyleneglycol)-block-poly(lactide-co-glycolide)

外观设计:灰白色/类灰黑色混合物(看依赖于于碳原子量)

溶化度:溶水可挥发稀释剂

PLGA氧分子量:10002000 5000 10000 0000

PEG可选装碳原子量:1000,2000,3400,5000

PLGA分配比例:50:50/75:25

質量控住:抗衡率>90%,PDI<1.4

存为状态:-20℃ 2年

车辆说明:PLGA-PEG-PLGA能用作制得胶束或囊泡等新靶点治疗物料,物料末终端的活力基团能图片链接一定绘制多肽、蛋白酶、蛋白质、DHA或等一下,使其含有分手后靶点治疗目的.

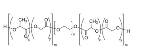
结构设计式:

1.png 

 

产址:渭南

应用:仅应用在科技创新

名牌:西安市杏彩体育平台  生态学

包装方式:小瓶

PLGA-SS-mPEG

PLGA-SS-PEG-PLGA

PLGA-SS-PEG-MAL

PLGA-SS-PEG-COOH

PLGA-SS-PEG-NH2

PLGA-SS-PEG-NHS

PLGA-SS-PEG-Biotin

PLGA-SS-PEG-N3

PLGA-SS-PEG-SH

PLGA-SS-PEG-OH

PLGA-SS-PEG-Br

PLGA-SS-PEG-Folate

小易ssl2022.4.19