杏彩体育平台

您当前所在位置:杏彩体育平台 > 资讯信息 > 新品上市
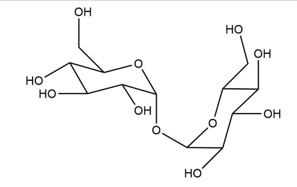
荧光素 FITC-海藻糖,海藻糖又称为漏芦糖、蕈糖,是由两个葡萄糖分子组成的一个非还原性双糖
发布时间:2022-04-14     作者:zyl   分享到:

水藻糖叫作为漏芦糖、蕈糖,是由两根红提糖原子根据的一款非恢复原性双糖。组成式为α-D-吡喃葡糖基~α-D-吡喃葡糖苷,总是以二水无机化合物存在着,原子式为C12H22O11·2H2O。

藻类糖有的是种**应激性新陈代谢物,可在持续高温、严寒、高渗透到压及变干失水等极端恶劣区域环境水平下到生殖细胞表面上产生独*的爱护膜,有*地爱护生态学碳原子的结构不被毁坏,于是保护人身安全体的人身安全步骤和生态学特征英文。

海藻糖

中文翻译名藻类糖 

英文文献名D-Trehalose anhydrous  

催化式C12H22O11 

团伙量378.33 

CAS账号登录号99-20-7 

EINECS密码登录号202-739-6

熔    点214 ℃

沸    点397.76 ℃ 

水阴离子型68.9g/100g水(25℃) 

密    度1.512 g/cm³ 

阶段:固体颗粒/粉状

出产地:武汉

处理准确时间:1年时间内

上传:保温

保存前提:-20℃

入手温馨提醒:

1.至于字体颜色

软件设备因有差异 软件设备的分子结构量有差异 ,软件设备相对性状和颜色搭配会出现本质区别。

2.介绍售后客服

如您的在线了解还没有按时恢复,有可能是当年在线了解超负荷也是系统的错误。

当我们将提拱售服服务性。

3.有关交货

.我的联合物流有限公司有顺丰速运、圆通速递、申通、韵达。

一些软件:

2-NBDG|CAS186689-07-6|N-(7-硝基苯-2-氧杂-1,3-二氮杂-4-基)氨基)-2-脱氧冬枣糖
TRITC–dextran conjugate|四甲基异硫氰酸罗丹明-葡聚糖共轭物
FITC–dextran conjugate|异硫氰酸荧光素-葡聚糖共轭物
Glucose-UDP-(PEG)6-Fluorescein Conjugate|尿苷5'-二磷酸-1-α-D-夏黑葡萄糖粉-六聚乙二醇-荧光素组合物
Glucose-UDP-Fluorescein Conjugate|尿苷5'-二磷酸-1-α-D-萄葡糖-荧光素融入物
FDGlcU|Fluorescein di-beta-D-glucuronide|荧光素-二-β-D-葡糖醛酸苷
Casein, FITC-conjugated|酪核蛋白, 异硫氰酸荧光素共轭
FCB|Fluorescein di-beta-D-cellobioside|荧光素-β-D-玻璃纤维二糖
FDG|Fluorescein di-beta-D-galactopyranoside|CAS17817-20-8|荧光素 二-β-D-吡喃半乳糖苷
FITC-乳糖;FITC-Lactose
FITC-Glucose;荧光素标记图片冬枣糖
FITC-海藻颗粒糖

仅使中用使中用科研管理,不能够使中用人体组织试验检测(zyl 2022.04.14)