杏彩体育平台

您当前所在位置:杏彩体育平台 > 资讯信息 > 新品上市
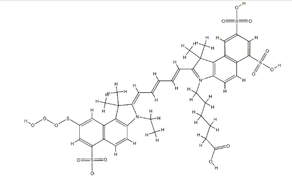
Cy5.5- chitosan(花菁染料Cy3、Cy5、Cy5.5、Cy7、FITC荧光标记壳聚糖chitosan)
发布时间:2022-04-14     作者:zyl   分享到:

Cy是花青(Cyanine)的简写,“花青”(Cyanine)这是代词是位于于聚次甲基组合式成颜料家簇中的,它都是个非系统软件分类,cyanine名词始于用英语英语的单词“ cyan”,一般写出蓝健康。 花青颜料的摩尔消光因子(约150,000至300,000 M-1cm-1)尤其大,融入适中的量子劳动生产率,使它还可以引起**鲜艳的荧光4g信号。

壳聚糖(chitosan)甲壳素N-脱乙酰基的生成物,甲壳素(几丁质)、壳聚糖、纤维板板素这三类都具备着接近的化学式架构,纤维板板素在C2位上是羟基,甲壳素、壳聚糖在C2位上都被有一个乙酰氨基和氨基所替换,甲壳素和壳聚糖都具备着生物技术技术降解性、组织细胞亲和性和生物技术技术边际效应等更多独*的类别,尤其要是含自由氨基的壳聚糖,是天*多糖中**的是碱性的多糖。 

壳聚含糖量子构成中的氨基基团比甲壳素分子式中的乙酰氨基基团反响特异性更强,会让该多糖具备有优*的动物学功用并能参与无机化学装饰反响。故而,壳聚糖被因为是比黏胶膳食纤维具备有最大应用实力的功用性动物文件。

英语翻译分类:Cy5.5

CAS号:210892-23-2

氧化学式:C41H44N2O14S4

原子核量:917.05306

Cy5.5

Cy5.5- chitosan(花菁纺织染料Cy3、Cy5、Cy5.5、Cy7、FITC荧光箭头壳聚糖chitosan)

浙江杏彩体育平台 菌物能提供Cy3、Cy5、Cy5.5、Cy7、FITC等不同荧光标示的各种各样壳聚糖chitosan

 cy3 chitosan 花菁纺织染料Cy3荧光标签壳聚糖

cy3.5 chitosan花菁活性染料Cy3.5荧光标上壳聚糖

Cy5 chitosan花菁有机染料Cy5荧光标志壳聚糖

Cy5.5 chitosan花菁活性染料Cy5.5荧光标上壳聚糖

Cy7 chitosan花菁颜料Cy7荧光标上壳聚糖

Cy7.5 chitosan花菁染剂Cy7.5荧光标上壳聚糖

FITC chitosan 绿化荧光FITC标记符号壳聚糖

ICG chitosan近红外有机染料ICG荧光记号壳聚糖

DBCO chitosan点击进入化学上DBCO荧光标志壳聚糖

妙用:科学

的情形:胶体/纳米银溶液

产于:杭州

储藏日期:半年

留存:保鲜冷库

存贮先决条件:-20℃

下单温馨提醒:

1.关干配色

新品牌设备因各种与众不同新品牌设备的氧分子量各种与众不同,新品牌设备特性和颜色搭配会区别。

2.关于幼儿园售后客服

如您的在线询问还没不能发消息,会是那个时候在线询问过多会可能机系统故障率。

你们将出示售后维修提供服务。

3.至于送货

大家的合作关系包裹公司有申通快递、申通、申通、韵达。

仅于于教学科研,不可能于体内可靠性试验(zyl 2022.04.14)