杏彩体育平台

您当前所在位置:杏彩体育平台 > 资讯信息 > 新品上市
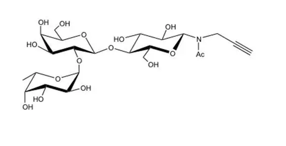
fitc-2-岩藻糖基乳糖,英文名:2'Fucosyllactose CAS号:41263-94-9
发布时间:2022-04-14     作者:zyl   分享到:

2'-岩藻糖基乳糖

英文翻译名:2'Fucosyllactose

CAS号:41263-94-9.

有机化学方程式:C18H32O15 

氧分子量:488.44 

2'-岩藻糖基乳糖

美观壮态:混合物或粉尘

的质量质量指标:95%+

溶解度生活条件:设计高沸点溶剂/水

放置条件:-20℃遮光保留

储放日子:一年

配送情况:温度2周

产量厂:深圳杏彩体育平台 生物学科技发展有限平台平台

相应成品:


fitc-2-岩藻糖基乳糖
CY7.5-Dextran;花青活性染料CY7.5标出葡聚糖
CY7-Dextran;花青活性染料CY7记号葡聚糖
CY5.5-Dextran;花青颜料CY5.5标记符号葡聚糖
CY3.5-Dextran;花青染剂CY3.5标注葡聚糖
CY7.5-Chitosan;花青染色剂CY7.5记号壳聚糖
CY7-Chitosan;花青纺织染料CY7标记符号壳聚糖
CY5.5-Chitosan;花青染色剂CY5.5箭头壳聚糖
CY3.5-Chitosan;花青纺织染料CY3.5标记符号壳聚糖
TRITC-Chitosan;四甲基罗丹明标签壳聚糖

仅适用做适用做科学研究,难以适用做人体健康可靠性试验(zyl 2022.04.13)