杏彩体育平台

您当前所在位置:杏彩体育平台 > 资讯信息 > 新品上市
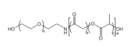
PLGA-PEG-OH 聚乳酸羟基乙酸共聚物-聚乙二醇-羟基
发布时间:2024-02-22     作者:wqy   分享到:

产品名称 聚乳酸羟基乙酸共聚物聚乙二醇羟基 PLGA-PEG-OH

汉语明称 聚乳酸羟基乙酸共聚物-聚乙二醇-羟基

用英语名字 PLGA-PEG-OH

分子式量 1000

CAS N/A

水解度 DMF,THF等

数据库具体条件 -20°冻存

保护时间段 一年时间

产品设备企业信息    

原产地   咸阳

舒心显示系统:仅用做科研课题

PLGA-PEG-OH 聚乳酸羟基乙酸共聚物-聚乙二醇-羟基


相对于咱们

北京杏彩体育平台 菌物高新科技有效新公司操作的食新品各种类型包涵有:制作而成磷脂、低碳原子聚乙二醇衍菌物、嵌段共聚物、磁块奈米科粒、奈米金及奈米金棒、近红外荧光颜料、活性酶类荧光颜料、荧光标出的葡聚糖BSA和链霉亲和素、核蛋白质电化学交联剂、小碳原子PEG衍菌物、点电化学食品、枝丫状配位水滑石、环糊精衍菌物、大环配体类、荧光量子点、半透质酸衍菌物、石墨稀材料或被氧化反应石墨稀材料、碳奈米管、富勒烯,二被氧化反应硅及介孔二影食品,荧光核蛋白质及荧光检测器性功能下降。



一些分类目录:

PLL-PEG-MAL

聚苯丙氨酸聚乙二醇聚苯丙氨酸

PPHE-b-PEG-b-PPHE

聚赖氨酸聚乙二醇叠氮

PLL-PEG-N3

甲氧基聚乙二醇-聚赖氨酸-聚己内酯

mPEG-PLL-PCL

甲氧基聚乙二醇-聚赖氨酸-聚(D,L-丙交酯-co-乙交酯)共聚物

mPEG-PLL-PLGA

巯基聚乙二醇聚赖氨酸

HS-PEG-PLL

聚乳酸聚乙二醇羟基