杏彩体育平台

您当前所在位置:杏彩体育平台 > 资讯信息 > 新品上市
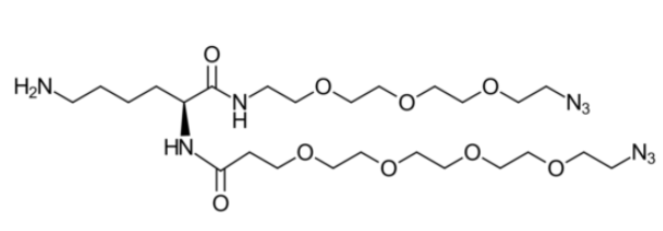
N(alpha)-PEG4-azide-L-Lysine-PEG3-azide,PEG是经环氧乙烷聚合而成的,相对分子量在200~8000或者8000以上的乙二醇高聚物
发布时间:2022-04-14     作者:ysl   分享到:
N(alpha)-PEG4-azide-L-Lysine-PEG3-azide成品概况:PEG是经树脂乙烷聚合物而成的,取决于氧氧团伙量在200~8000亦或8000以下的乙二醇高聚物,其由连续的氧乙稀基主成,一方面包括优秀的水溶解性,能不能不溶DCM、DMF、苯、乙腈和工业乙醇等充分液状体。PEG有俩个终端羟基,包括曲线的(取决于氧氧团伙质为5000~30000)或支化的(取决于氧氧团伙质为40000~60000)链状结构设计,曲线PEG的氧氧团伙式为H-(O-CH2-CH2)n-OH。可用的PEG有PEG200、PEG300、PEG400、PEG600、PEG1000、PEG2000、PEG4000、PEG6000、PEG10000等,恒温下取决于氧氧团伙量为200~600的PEG是液状体,取决于氧氧团伙量为1000及以下者是混合物。原子式:C25H49N9O9团伙量:619.71饱和度:>95%

保存:冷藏
储藏条件:-20℃
储存时间:1年
用途:科研
状态:固体/粉末/溶液
产地:西安
温馨提醒:仅供科研,不能用于人体实验

N(alpha)-PEG4-azide-L-Lysine-PEG3-azide

对应服务Mal-bis-PEG3-DBCOAmino-bis-PEG3-DBCODBCO-PEG3-TCODBCO-PEG4-SS-TCODBCO-PEG3-alcoholDBCO-PEG4-alkyneDBCO-PEG3-BiotinDBCO-PEG3-aldehydeDBCO-PEG3-amineDBCO-PFPDBCO-PEG12-MalDBCO-PEG3-MalDBCO-PEG4-NHSDBCO-Mal CAS:1395786-30-7DBCO-SS-amineDBCO-SS-NHSDBCO-SS-aldehydeDBCO-PEG3-oxyamineDBCO-PEG4-HyNicBCN-NHS(exo)APN-PEG4-BCN(exo)

往上类产品仅用做科研管理,没办法用做女性身体实验性(ysl2022.4.14