杏彩体育平台

您当前所在位置:杏彩体育平台 > 资讯信息 > 新品上市
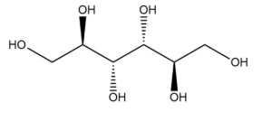
荧光素FITC标记甘露醇,FITC-Mannitol,化学式 C6H14O6 , 分子量 182.172
发布时间:2022-04-13     作者:zyl   分享到:


荧光FITC符号珠露醇,FITC-Mannitol

珠露醇,普通机械式为C6H14O6,一种糖醇,是山梨糖醇的同分异构体。溶解于水,为白色的晶体性粉末状原材料,有有些相似绵白糖的清甜味。

中文名字名 杨枝醇 

国外语言名 Mannitol 

别    名 D-杨枝醇 

化工式 C6H14O6 

原子核量 182.172 

甘露醇

CAS访问号 87-78-5 

EINECS密码登录号 201-770-2 

熔    点 167 至 170 ℃ 

沸    点 494.9 ℃

水阴离子型 微溶 

密    度 1.6 g/cm³ 

外    观 乳白色晶体性粉沫

cy3-Chitosan(花菁染色剂Cy3、Cy5、Cy5.5、Cy7、FITC荧光箭头甘霖醇Mannitol )

郑州杏彩体育平台 生物工程作为Cy3、Cy5、Cy5.5、Cy7、FITC等好几种荧光标上的很多甘霖醇Mannitol

cy3 Mannitol  花菁染色剂Cy3荧光标上甘霖醇

cy3.5 Mannitol 花菁染色剂Cy3.5荧光标出甘霖醇

Cy5 Mannitol 花菁有机染料Cy5荧光记号甘霖醇

Cy5.5 Mannitol 花菁颜料Cy5.5荧光箭头珠露醇

Cy7 Mannitol 花菁活性染料Cy7荧光标识珠露醇

Cy7.5 Mannitol 花菁有机染料Cy7.5荧光标志甘霖醇

FITC Mannitol  墨绿色荧光FITC标出甘霖醇

ICG Mannitol 近红外有机染料ICG荧光标志杨枝醇

DBCO Mannitol 单击化学上的DBCO荧光图标珠露醇

外觀模式:固态物体或粉未

的质量要求:95%+

融掉要求:有机物相转移催化剂/水

会自动储存必要条件:-20℃阴凉保存图片

储放的时间:1年时间内

配送标准:空调温度2周

产出产家:昆明杏彩体育平台  生物体科技开发有限制集团公司

仅适用来适用来科研开发,不能够适用来人体健康试验台(zyl 2022.04.13)