杏彩体育平台

您当前所在位置:杏彩体育平台 > 资讯信息 > 新品上市
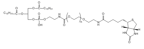
DPPE-PEG-BIOTIN;二棕榈酰磷酯酰乙醇胺-聚乙二醇-生物素
发布时间:2024-01-22     作者:wyh   分享到:
中文翻译名号:二棕榈酰磷酯酰无水乙醇胺-聚乙二醇-生物工程素英语怎么说称谓:DPPE-PEG-BIOTIN食品溶解度:≥95%设备功能:适用于医学检验实验,用量发出,纳米系统系统和新村料实验,血细胞训练。 并且 配体实验,多肽炼制支持软件,接枝拿纤维原材料式单质,新村料和聚乙二醇渗透型功能键铝层等生物单质领域。PEG氧分子量待选:350、550、750、1k、2k、34k、5k等品脾     郑州杏彩体育平台 生物制品创新科技有限制公司產地   绵阳暖心的提示:仅用做科研工作

DPPE-PEG-BIOTIN;二棕榈酰磷酯酰乙醇胺-聚乙二醇-生物素

相关自己:浙江杏彩体育平台 生物学技术技术有局限厂家是国內的PEG厂家直销商,也可不可不可以展示不同的原子核量的PEG衍生商品物技术,小原子核PEG的无限循环节也可不可不可以作到1-36个,高原子核PEG原子核量从1000-40000不让,也可不可不可以淡化的基团有:氨基类,NHBOC类,Fmoc类,羧酸类,Mal类,NHS类,叠氮类,DBCO类,Cy3/Cy5/Cy7类,THP类,苄基类,丙炔基类,溴代类,丙酸叔丁酯类,乙酸叔丁酯类,甲基类,生物学技术素类,五氟苯酚类,磺酸酯类,巯基类,商品色度可高达98%不低于。


大部分根目录:氨氧基-三聚乙二醇-硫醇硫酸盐;氨氧基-三聚乙二醇-硫醇HCl盐氨基-第十二聚乙二醇-丙酸叔丁酯;甲基-第十四聚乙二醇-羧酸;甲氧基第十四聚乙二醇羧基13聚乙二醇-双酸;羧基13聚乙二醇羧基Biotin-PEG32-NHS