杏彩体育平台

您当前所在位置:杏彩体育平台 > 资讯信息 > 新品上市
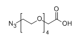
N3-PEG4-CH2COOH;201467-81-4;叠氮-四聚乙二醇-乙酸
发布时间:2024-01-16     作者:wyh   分享到:
英文版名字大全:叠氮-四聚乙二醇-乙酸英文版名稱:N3-PEG4-CH2COOHCAS No.:201467-81-4常常俗名:叠氮四聚乙二醇羧甲基英语翻译俗名:Azide-PEG4-CH2COOH14-Azido-3,6,9,12-tetraoxatetradecanoic acid14-Azido-3,6,9,12-tetraoxa-1-tetradecanoic acid2-[2-[2-[2-(2-azidoethoxy)ethoxy]ethoxy]ethoxy]ethanoic acidN3-TEG-COOH

产品纯度:

≥95%大化学结构式:C10H19N3O6大分子量:277.27设备的用途:利用于中医药学论述,肿瘤药物减少,纳米技术水平技术水平和新物料论述,人体细胞致力于。 还有配体论述,多肽自动合成大力支持,接枝拿高大分子有机类化合物,新物料和聚乙二醇热塑性树脂用途铝层等生物有机类化合物几个方面。国际品牌     宝鸡杏彩体育平台 生物工程科持十分介绍生产基地   兰州和谐报错:仅代替科研项目

N3-PEG4-CH2COOH;201467-81-4;叠氮-四聚乙二醇-乙酸

光于当我们:石家庄杏彩体育平台 菌物科技公司的局限公司的是全球的PEG生产商商,需要提供数据各种不同原子量的PEG衍菌物,小原子PEG的重复节需要做出1-36个,高原子PEG原子量从1000-40000不定,需要淡化的基团有:氨基类,NHBOC类,Fmoc类,羧酸类,Mal类,NHS类,叠氮类,DBCO类,Cy3/Cy5/Cy7类,THP类,苄基类,丙炔基类,溴代类,丙酸叔丁酯类,乙酸叔丁酯类,甲基类,菌物素类,五氟苯酚类,磺酸酯类,巯基类,护肤品饱和度超过98%上。


一些的目录:m-PEG11-COOHm-PEG11-COOHm-PEG11-NHS estermPEG11-OHmPEG11-OTsm-PEG11-OTsm-PEG12-alcoholmPEG12-azide