杏彩体育平台

您当前所在位置:杏彩体育平台 > 资讯信息 > 新品上市
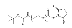
BOC-NH-PEG-SC;叔丁氧羰基-亚氨基-聚乙二醇-活性酯
发布时间:2024-01-15     作者:wqy   分享到:

中文版命名:叔丁氧羰基-亚氨基-聚乙二醇-渗透性酯

英文音标命名:BOC-NH-PEG-SC

英语别号:

BOC-NH-PEG-NHS

设备纯净度:

≥95%

好产品适用范围:

用于临床科学科研,类药物保持,納米技术水平和新文件科学科研,细胞系培养出。 或配体科学科研,多肽镶嵌支持软件,接枝好成绩子单质,新文件和聚乙二醇改性材料作用金属涂层等活力单质因素。

杏彩体育平台  怪物网络是有限的工厂

产自   渭南

和睦显示:仅用到科研工作

BOC-NH-PEG-SC;叔丁氧羰基-亚氨基-聚乙二醇-活性酯


相关我们公司:

昆明杏彩体育平台 怪物科枝局限厂家是中国的PEG出售商,就不错保证差异团伙结构量的PEG衍怪物,小团伙结构PEG的循环系统节就不错保证做到1-36个,高团伙结构PEG团伙结构量从1000-40000不会等,就不错装饰的基团有:氨基类,NHBOC类,Fmoc类,羧酸类,Mal类,NHS类,叠氮类,DBCO类,Cy3/Cy5/Cy7类,THP类,苄基类,丙炔基类,溴代类,丙酸叔丁酯类,乙酸叔丁酯类,甲基类,怪物素类,五氟苯酚类,磺酸酯类,巯基类,服务饱和度敢达98%之上。


有些子目录:

CHO-Ph-PEG3-Acid

CAS:1309460-27-2

醛基-Ph-四聚乙二醇-酸

CHO-Ph-PEG4-acid

CAS:87450-10-0

炔基-五聚乙二醇-羟基

Propargyl-PEG5-alcohol

甲氧基-三聚乙二醇-溴

mPEG3-Br

CAS:1835759-78-8

氨氧基-四聚乙二醇-丙炔