杏彩体育平台

您当前所在位置:杏彩体育平台 > 资讯信息 > 新品上市
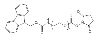
Fmoc-NH-PEG-SC;芴甲氧羰酰基-亚氨基-聚乙二醇-活性酯
发布时间:2024-01-15     作者:wqy   分享到:

中文翻译称呼:芴甲氧羰酰基-亚氨基-聚乙二醇-催化活性酯

英语命名:Fmoc-NH-PEG-SC

日语学名:

Fmoc-NH-PEG-NHS

成品饱和度:

≥95%

软件功用:

应用领域于中医学的研究分析探讨,类药挥发,纳米技术水平技术水平和新文件的研究分析探讨,肿瘤细胞提升。 各种配体的研究分析探讨,多肽人工使用,接枝蒙题子有机单质,新文件和聚乙二醇改善效果纳米涂层等灵活性有机单质各方面。

杏彩体育平台 菌物社会十分有限技术

主产地   兰州

和睦提升:仅适用于教学科研

Fmoc-NH-PEG-SC;芴甲氧羰酰基-亚氨基-聚乙二醇-活性酯


关干当我们:

宝鸡杏彩体育平台 菌物现代科技有限的司是国內的PEG供给商,也会带来了各种不同氧原子式量的PEG衍菌物,小氧原子式PEG的循坏节也会做出1-36个,高氧原子式PEG氧原子式量从1000-40000良莠不齐,也会绘制的基团有:氨基类,NHBOC类,Fmoc类,羧酸类,Mal类,NHS类,叠氮类,DBCO类,Cy3/Cy5/Cy7类,THP类,苄基类,丙炔基类,溴代类,丙酸叔丁酯类,乙酸叔丁酯类,甲基类,菌物素类,五氟苯酚类,磺酸酯类,巯基类,的产品溶解度高达hg98%以内。


区域的目录:

CHO-Ph-PEG3-Acid

CAS:1309460-27-2

醛基-Ph-四聚乙二醇-酸

CHO-Ph-PEG4-acid

CAS:87450-10-0

炔基-五聚乙二醇-羟基

Propargyl-PEG5-alcohol

甲氧基-三聚乙二醇-溴

mPEG3-Br