杏彩体育平台

您当前所在位置:杏彩体育平台 > 资讯信息 > 新品上市
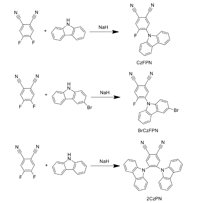
有机发光小分子CzFPN、BrCzFPN和2CzPN,含有溴原子(BrCzCzPN,2BrCzPN))以及不含溴原子(2CzPN)的AIE-TADF分子
发布时间:2022-01-20     作者:zhn   分享到:

西安杏彩体育平台 生物供应有机发光小分子CzFPN、BrCzFPN和2CzPN,含有溴原子(BrCzCzPN,2BrCzPN))以及不含溴原子(2CzPN)的AIE-TADF分子

产地:西安

溶解度:99%功能:仅用做科技批售商:上海杏彩体育平台 微食品科技发展十分有限厂家形容:

以氰基为吸电子基团,咔唑或者3-溴咔唑为给电子基团,我们设计合成具有AIE与力致发光特性的D-A有机发光小分子,即CzFPN、BrCzFPN和2CzPN

image.png

小编搭配多晶体资料,定义了力致亮光現象,发掘含有压电式作用的办公空间群、不符称管理中心的原子核排列方式各种**固定亮叶是发生这一現象的一般理由。

image.png

我们提出将重原子(溴原子)引入到TADF分子中,提高分子的TADF性能,从而提高OLED性能。我们设计合成含有一个溴原子(BrCzCzPN),两个溴原子(2BrCzPN),以及不含有溴原子(2CzPN)的AIE-TADF分子,并将它们制备成OLED器件,研究发现随着溴原子数量的增加,其器件性能越好。

2BrCzPN和BrCzCzPN制备的OLED器件电流效率和外部量子效率分别可达到31.5 cd A-1,12.3%和24.4 cd A-1,10.8%,比2CzPN的器件性能明显提高。

image.png

西安杏彩体育平台 生物科技有限公司提供金属配合物,热激活延迟荧光(TADF)材料,聚集诱导延迟荧光(AIDF)材料,聚集诱导发光AIE材料的定制合成

来源于苯并咪唑和三苯胺当做打造单元测试的海蓝荧光充分小分子结构即BI-A-TPA、BI-B-TPA、BI-C-TPA和BI-D-TPA含硫杂环的有机物小原子核荧光建筑材料 深蓝光原子核TPA-S和CzB-S天空蓝光团伙CzB-SO2TPA-SO2蓝光产品PPI-TPA-SO2-1PPI-TPA-SO2-21,6-2TPA-TX/3,6-2TPA-TX1,6-2TPA-TXO/3,6-2TPA-TXO以Pt(N^C^C^N)为配位原则的四齿配合默契物ZPt1,ZPt2和ZPt3弱酸性什么是自由基分子式TTM-1Cz2,4-双[4-(N,N-二异丁基氨基)-2,6-二羟基苯基]方酸菁(SQ)2-[4-(N-丁基-N-苯基氨基)-2,6-二羟基苯基]-4-[(4-(N-丁基-N-苯基氨基)-2,6-二羟基苯基)-2,5-二烯-1-亚基]-3-氧代环-1-烯-1-醇钠(SQ-BP)2'-N-苯并咪唑基-3,5-(9H)二咔唑基联苯(o-mCPBI)3'-N-苯并咪唑基-3,5-(9H)二咔唑基联苯(m-mCBI)4'-N-苯并咪唑基-3,5-(9H)二咔唑基联苯(p-mCPBI)祥和提示卡:仅应用于科研工作的小编zhn2022.01.20