杏彩体育平台

您当前所在位置:杏彩体育平台 > 资讯信息 > 新品上市
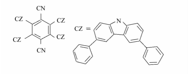
荧光材料TADF-4CZTPN-Ph|cas1416881-53-2|2,3,5,6-四(9-咔唑基)-对苯二腈
发布时间:2022-01-18     作者:ssl   分享到:

**荧光材料TADF-4CZTPN-Ph|cas1416881-53-2|2,3,5,6-四(9-咔唑基)-对苯二腈

中文名字名字: 2,3,5,6-四(9-咔唑基)-对苯二腈 

规格  1.32±0.1 g/cm3(Predicted)

储放先决条件  Inert atmosphere,2-8°C Absorption λmax?328, 344, 485 nm in?toluene

综述 4CzTPN,即2,3,5,6-四(咔唑-9-基)-1,4-二氰基苯,是4CzPN和4CzIPN的三种类型异构体之六。

描述:

4CzTPN-Ph不是种**的热激活开通廷迟荧光(TADF)的原材料,其单重态和双重态自由电荷迁移态(CTs)之中的能隙非常渺小。4CzTPN-Ph为掺入剂,以与众不同三种态激子(T_1)体力的的原材料偏重于体,空穴文件传输层(HTL)或智能电子无线传输层(ETL)分离纯化一系例4CzTPN-Ph参杂有机化学荧光场效应管(oled)。在恒温下,在有所差异的偏置直流电下,包括在固定的的流入直流电下,在有所差异的温度因素下,在测量了这配件的磁电致会发光(MEL)和磁电导(MC)。实验设计报告体现了,获选择都具有的不同T|1能量转换的物料充当HTL、ETL和添加法律主体时,这个元器件的MEL和MC在低磁体(|B | 20mT)内差别具体表现出有差异的线型和有差异的变幻市场趋势

凝固点  > 360 °C (lit.)

臭味 (Odor) Orange powder/crystals

CAS号: 1416881-53-2

团伙式: C56H32N6

团伙量: 788.89


1.png

**荧光材料TADF-4CZTPN-Ph|cas1416881-53-2|2,3,5,6-四(9-咔唑基)-对苯二腈

**荧光材质4CZIPN-Ph对LED闪光性的直接影响

1)使用光致会发光能搞定4CzTPN-ph凝练湿度高受阻于工作的问题;

2)4CzTPN-ph可以被445 nm的蓝光芯片激发,发出600 nm左右的红光;

3)通过添加不同浓度的4CzTPN-ph,可以**地增加光谱中的红光成分,并且随掺杂浓度增加出现了光谱展宽现象,改善了器件的性能。

相应的物品:

**荧光材料TADF-4CZTPN-Ph|cas1416881-53-2|2,3,5,6-四(9-咔唑基)-对苯二腈

DPEPO cas:808142-23-6 二[2-((氧代)二苯基膦基)苯基]醚

BCPO cas:1233407-28-7 Bis-4-(N-carbazolyl)phenyl)phenylphosphine oxide

AQ(PhDPA)2,b1 cas:1640978-33-1 2,6-双[4-二苯胺基苯基]-9,10-蒽醌

Ac-VPN cas:1784766-38-6 Ac-VPN

Px-VPN cas:1784766-39-7 4,5-双[4-(N-吩噁嗪)苯基]-1,2-二氰基苯

Ac-CNP cas:1883400-34-7 Ac-CNP

Px-CNP cas:1883400-36-9 Px-CNP

DMAc-MPM cas:1870041-76-1 2-甲基-4,6-双[4-(9,9-二甲基-9,10-二氢吖啶)苯基]嘧啶

DMAc-PPM cas:1870041-75-0 2-苯基-4,6-双[4-(9,9-二甲基-9,10-二氢吖啶)苯基]嘧啶

DPAc-MPM cas:2019165-20-7 2-甲基-4,6-双[4-(9,9-二苯基-9,10-二氢吖啶)苯基]嘧啶

贴心建议大家:只供科学研究,不能够于人身体实验室

上面信息来源于银川杏彩体育平台 生物体大家ssl2022.1.18