杏彩体育平台

您当前所在位置:杏彩体育平台 > 资讯信息 > 新品上市
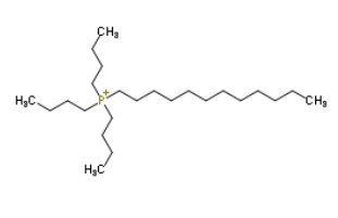
Tributyl(dodecyl)phosphonium bromide 三丁基(十二烷基)溴化鏻 15294-63-0
发布时间:2023-10-31     作者:LYQ   分享到:

产品名称 : Tributyl(dodecyl)phosphonium bromide
中文名称 : 三丁基(十二烷基)溴化鏻
CAS号 : 15294-63-0
分子式 : C24H52BrP
分子量 : 451.55
包装:瓶装
供应商:西安杏彩体育平台 生物科技

给予12烷基三丁基溴化膦CAS号15294-63-0,12烷基三丁基溴化膦MSDS还有其表明、属性、英文怎么说名、角色/使用用途、团伙量、密度单位、溶点、凝固点、空间化学式等

产地:西安
温馨提示:本产品仅用于科研实验

渭南杏彩体育平台 生物技术生产商磷脂、荧光、蛋白质、纳米技术颗粒物、铝离子固体、MXene材料等供研究应用的各种类型设备,还可打造定制开发业务,认可质询。厂品高性价比:4-Amino-1-methyl-4H-1,2,4-triazol-1-ium iodideTetraethylammonium bromide71-91-0四乙基溴化铵429-07-2四乙基六氟磷酸铵Tetraethylammonium hydrogensulfate16873-13-5