杏彩体育平台

您当前所在位置:杏彩体育平台 > 资讯信息 > 新品上市
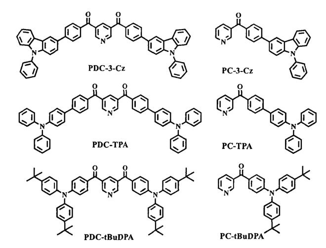
蓝色TADF荧光材料PDC-3-Cz、PDC-TPA和PDC-tBuDPA,PC-3-Cz、PC-TPA和PC-tBuDPA的结构式
发布时间:2022-01-14     作者:zhn   分享到:

蓝色TADF荧光材料PDC-3-Cz、PDC-TPA和PDC-tBuDPA,PC-3-Cz、PC-TPA和PC-tBuDPA的结构式

以苯甲酰基吡啶作为电子受体(A)的蓝色荧光材料:通过Suzuki偶联以及Buchwald-Hartwig偶联在电子受体3,5-二苯甲酰基吡啶(PDC)以及3-苯甲酰基吡啶(PC)上引入给电子基团(D):N-苯基咔唑、三苯胺、双(4-叔丁基苯基)胺,设计合成了一系列电子给体-受体-给体(D-A-D)型蓝色荧光材料PDC-3-Cz、PDC-TPA和PDC-tBuDPA,或给体-受体(D-A)型蓝色荧光材料PC-3-Cz、PC-TPA和PC-tBuDPA

掺杂薄膜的瞬态光致发光(PL)衰减曲线表明,PDC-tBuDPA的荧光寿命为0.17 μs,为热激活延迟荧光(TADF)分子。

它们的掺杂型OLED均获得了蓝色发光,并且含PDC的D-A-D型分子的发光性能优于含PC的D-A型参比分子。

其中PDC-tBuDPA的器件ηext达到了15.4%;PDC-3-Cz的器件获得了色纯度比较高的蓝光发射,CIE坐标为(0.15,0.15),ηext为11.8%。

image.png

西安杏彩体育平台 生物是国内的光电材料供应商,我们可以提供各种基础的热延迟荧光材料TADF材料,也提供TADF材料的定制合成。

image.png

TPA-DQP 特征提取吡嗪衍化物多巴胺受体的热纯化延缓荧光的原材料型D-A-D节构橙红光到红光TADF资料TPA-APQDCNTPA-DBPDCN橙红光到红光TADF相关材料PXZ-PQMDPXZ-PQMDPXZ-DPPMMPPA-MCBP红光热活性延缓荧光产品(EBC1和EBC2)特征提取占吨酮(XO)肾上腺素受体和吩噁嗪(PXZ)给体的D-A型TADF团伙3-PXZ-XO白光灯卫星发射3-DPH-XO分子式TADF氧分子10-DPH-BXO和3-DPH-6-Br-XOD-A型TADF氧分子PXZ-CMOPh3Cz-TRZ蓝光建材TIPP-DMAC蓝光建筑材料TIPP-SAFPOB-DMAC天空蓝光TADFPOB-PXZ绿光TADF蓝色光TADF变色原材料DBNA-PXZD-π-A-π-D型氧分子PXZPMD-π-A-π-D型PXZMePMD-π-A-π-D型PXZPhPM绿光TADF原子核AcDPA-2TPfppyBTPA四配位硼做好物dfppyBTPA四配位硼配合物溫馨表示:仅用来科学!