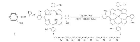
选文合并了meso-四(邻烷氧基苯基)卟啉合钴(meso-T(2-ROP)PCo)10个,其中未见文献报道的新化合物8个,首次得到该系列配合物的晶体或固体,用波谱方法研究确证了其结构,用DSC和PM研究了该系列配合物的液晶性能,发现6个配合物具有液晶性。配合物的合成路线如下:

在安装有流回冷凝剂管、恒压滴液漏斗的25 mL三颈瓶中,加人0.02 mmol meso-T(2-ROP)PH2,5mLCHCl,磁力搅拌使固体物质溶解,加热回流,滴加
0.2mmol醋酸钴的甲醇饱和溶液,用TLC监测反应终点,待原料斑点消失后(约1~2 h),停止加热。反应完毕后,水浴蒸去溶剂,粘稠状物溶于CHCl3后用中性Al2O3柱分离纯化,CHCl3为洗脱剂,收集一浓色带,水浴蒸去溶剂,并用水泵抽干。再用石油醚/甲醇混合溶剂重结晶与冰盐浴长时间冷冻法,得meso-四(邻烷氧基苯基)卟啉合钴(meso-T(2-ROP)PCo) (3)紫红色固体产物10个。

绵阳杏彩体育平台
生物学批售卟啉环保定制家具好产品列表:N-烷基转变3,4-二氢嘧啶酮-卟啉烷基二茂铁成为卟啉5-(p-第十五烷氧基苯基)-10,15,20-三苯基卟啉5-(p-第十五羰酰氧苯基)-10,15,20-三苯基卟啉四苯基卟啉(TPP)5,10,15,20-四(4-羧基苯基)卟啉(TCPP)5-氟尿嘧啶-1-烷氧苯基三间氯苯基卟啉无脂链磺化酞菁铜(CuTsPc)水阴离子型间-四(β-N-乙酸乙酯基吡啶基)卟啉(英语缩写为H2Tβ-N-EAESPyP4+,下简记为H2P4+)5-[4-(4-巯基丙氧基)-苯基]-10 ,15 ,20-三苯基卟啉5-[4-(6-巯基己氧基)-苯基}-10 ,15 ,20-三苯基卟啉5-[4-(9-巯基壬氧基)-苯基]-10,15,20-三苯基卟啉5-[4-(12-巯基上二烷氧基)-苯基]-10 ,15 ,20-三苯基卟啉(TPPO(CH2):2SH)5,10-二(4-羟基苯基)-15,20-二苯基卟啉(cis-TPP(OH)2)5,15-二(4-羟基苯基)-10,20-_苯基卟啉(rans-TPP(OH)2)5,10,15,20-四(4-甲氧羰基苯基)卟啉(TCMPP)15场烷基苯基充当的卟啉氧化物(C1sTPPNi)5-(4-3-氰基苯甲酸酰亚 胺基)苯基-101,5,20-三苯基卟啉配体(CBTPPH2)
上数据原于今天axc,2021.01.14及以上这篇文章说的护肤品仅使用在科学研究,难以使用在身休。