杏彩体育平台

您当前所在位置:杏彩体育平台 > 资讯信息 > 新品上市
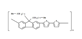
F8T2,223569-28-6 聚(N,N'-二(4-丁基苯基)-N,N'-二苯基-1,4-苯二胺-CO-9,9-二辛基芴)
发布时间:2022-01-14     作者:ssl   分享到:

 

F8T2,223569-28-6 聚(N,N'-二(4-丁基苯基)-N,N'-二苯基-1,4-苯二胺-CO-9,9-二辛基芴)

叙说:

动用热进行处理和振动聚酰亚胺对层来产量大占地的聚(9,9-二辛基芴-co-双噻吩)循环共聚物F8T2,223569-28-6。聚酰亚胺表面上的摩擦方向决定了这些畴的方向,够制造出沟道长度与液晶聚合物F8T2,223569-28-6导向器平行和垂直的薄膜晶体管。科研人员发现,如X电子束衍射所看到的,在150至350°C温湿度区域内的热淬火将缔合物格局从非晶态该成合理相。偏振光光学元件高倍显微镜展现,该合理相与更加大的合理畴有关系,并相应的于热致向列相lcd显示器相。我们都科学研究了热淬火对F8T2空间结构充分性和pet薄膜单晶体管(TFT)关联电功效的影向。能够 有序性的化检查到空穴的搬迁率促进。径直于汇聚物主链的场因素搬迁率比径直构型高6.5倍。

1.png

F8T2,223569-28-6 聚(N,N'-二(4-丁基苯基)-N,N'-二苯基-1,4-苯二胺-CO-9,9-二辛基芴)

CAS号: 223569-28-6

碳原子式: (C67H78N2)n

大分子量: 0  

相关内容种类: 聚合反应物光电产品产品

聚(9,9-二辛基芴-alt-双噻吩)F8T2,223569-28-6在溶液中根据温度和溶剂表现出两种不同的构象。从高到低温构象的转变类似于聚(9,9-二辛基芴)(PFO)的β相形成,即共轭长度增加,而涉及不太明显的焓变和熵变(对于PFO,ΔH=7.1 kcal/mol和ΔS=22.9 cal/(mol K)与ΔH=18.0 kcal/mol和ΔS=68.4 cal/(mol K))。熵损失表明聚合物在低温构象中的顺序大幅增加。F8T2在不同粘度、不同温度和不同发射波长下收集的溶剂中的荧光衰减具有三重指数特征(例如,在20°C下,甲基环己烷中为20、440和650 ps)。两个较长的衰变时间与两种构象的寿命有关。

重要性物品:

F8T2,223569-28-6 聚(N,N'-二(4-丁基苯基)-N,N'-二苯基-1,4-苯二胺-CO-9,9-二辛基芴)

BPFH/F6/PF6 聚(9,9-二己基芴基-2,7-二基)  

PFO cas:195456-48-5 聚(9,9-二辛基-9H-芴-2,7-二基)

PFO(DMP end capped) cas:195456-48-5

PFO-ph cas:195456-48-5

PCz cas:1093292-01-3 聚[9-(1-辛基壬基)-9H-咔唑]

MEH-PPV cas:138184-36-8 聚[2-甲氧基-5-(2-乙基己氧基)-1,4-苯撑丁二烯撑]

MDMO-PPV cas:177716-59-5 聚[[2-[(3,7-二甲基辛基)氧基]-5-甲氧基-1,4-苯]-1,2-乙稀二基]

F8BT, PFBT, PFO-BT cas:210347-52-7 聚[(9,9-二辛基芴-2,7-二基)-跳变-(2,1,3-苯并噻二唑-4,7-二基)]

F8T2 cas:223569-28-6 [N,N'-(4-正丁基苯基)-N,N'-二苯基对苯二胺]-[9,9-二正辛基芴基-2,7-二基]共聚物

TFB cas:223569-31-1 聚[(N,N'-(4-正丁基苯基)-N,N'-二苯基-1,4-苯二胺)-ALT-(9,9-二正辛基芴基-2,7-二基)]祥和警醒:仅作教学科研,无法用来身休实验报告

上面材质 来源西安市杏彩体育平台 菌物版主ssl2022.1.14