杏彩体育平台

您当前所在位置:杏彩体育平台 > 资讯信息 > 新品上市
TADF发射体:二苯并噻吩砜-吩噻嗪(PTZ-DBTO2)
发布时间:2022-01-14     作者:zhn   分享到:

TADF发射体:二苯并噻吩砜-吩噻嗪(PTZ-DBTO2)

热活性氧廷迟荧光(TADF)物料具小的单重态-双重态能级差,可能能够充分使用其单重态激子和双重态激子,使其电子元器件的内量子速度会超过**,变成了第4代有机质酸夜光物料。系统设计整合物TADF物料的溶剂手工加工型有机质酸夜光稳压管(OLEDs)随着其加工流程十分简单、投入较低要用于加工大长宽的OLEDs。傳統的空穴传导型材规格料苯基咔唑(BCz)具备有较高的三大态能,会****客体向要素的卡路里传回并有效的减小客体之中的激子淬灭。

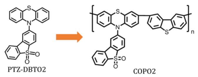
二苯并噻吩砜-吩噻嗪(PTZ-DBTO2)作为发光效率最高的黄绿光TADF材料之一,被广泛用作TADF聚合物的发光中心。

采用PTZ-DBTO2与BCz进行自由基共聚得到一系列的空穴传输型TADF聚合物。通过研究其热学,电化学,光物理与电致发光性能,探究了聚合物组成与性能的关系。通过发光层中引入辅助掺杂剂使其OLEDs效率得到大幅提升,其中基于PCz PT-19的器件外量子效率达到3.6%。

image.png

西安杏彩体育平台 生物是国内的光电材料供应商,我们可以提供各种基础的热延迟荧光材料TADF材料,也提供TADF材料的定制合成。

image.png

10-乙基-3-(1-苯基-1H- 菲并[9,10-d]咪唑)-酚噻嗪(PTHPI)电子器材给-蛋白激酶(D-A)荧光大分子(PO与PPO)红光原材料PBTPAPBTPE 依据吩噻嗪为给体的红光相关材料PBDPTH  红光原料10-(2-螺-9,9'-氧杂蒽芴基)吩噻嗪(SFXPz)吩噻嗪作用化的螺-9,9'-氧杂蒽芴的制定提炼热产甲烷迟缓荧光(TADF)原材料BPCN-Cz2PhBPCN-2CZBPCN-3Cz双正负氧化物CNTPA-CZCNTPA-PXCNTPA-PTZ天蓝色热碱化迟缓荧光用料DTC-pBPSB蓝光TADF团伙DTC-mBPSB热碱化荧光碳原子ACR-BPSBP9-(6-(9-咔唑基)己基)咔唑(hCP)含S,S-二氧-二苯并噻吩单元式的红光磷光整体涂料pCzFSO幸福警告:仅主要用于科研工作神评zhn2022.01.14