杏彩体育平台

您当前所在位置:杏彩体育平台 > 资讯信息 > 新品上市
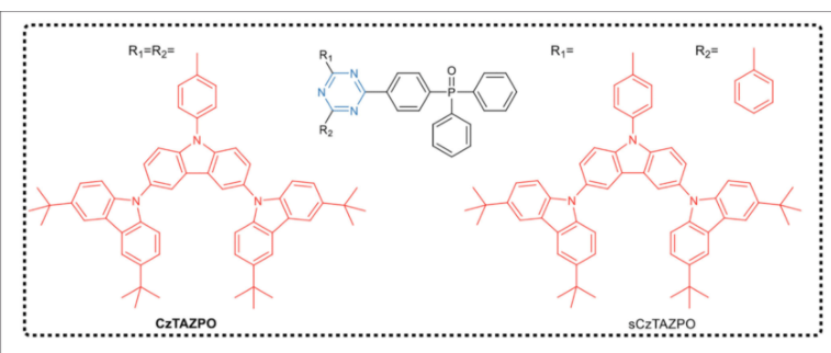
具有AIE和TADF特性的树枝状聚合物CzTAZPO和sCzTAZPO的合成以及理论和实验研究
发布时间:2022-01-14     作者:zhn   分享到:


目前为止,聚众诱骗时间网络延时荧光(AIDF)是克制热修改密码时间网络延时荧光(TADF)释放出器局限性的最有竟争力的手段。

在此,为了开发**的 AIDF 发射器,提出了一种将咔唑枝晶引入强化电子受体以构建 D-π-A 结构的新策略。两种发射体,即二苯基(4-(4-苯基-6-(4-(3,3″,6,6″-四叔丁基-9′H-[9,3′:6′,9″) -tercarbazol]-9'-yl)phen yl)-1,3,5-triazin-2-yl)phenyl) 氧化膦 (CzTAZPO) 

二苯基 (4-(4-phenyl-6-(4-(3, 3″,6,6″-四叔丁基-9′H-[9,3′:6′,9″-tercarbazol]-9′-yl)phenyl)-1,3,5-triazin-2合成了具有扭曲咔唑枝晶结构的-基)苯基)氧化膦(sCzTAZPO)

并进行了理论和实验研究。

image.png


两种化合物都显示聚集诱导的发射,突出的 TADF 和双极特性。合理的分子设计策略使 CzTAZPO 同时表现出高振荡器强度 (f) 和小的单重态-三重态能隙 (ΔEST),显着提高了逆系间交叉过程的速率和荧光量子效率。

高性能非掺杂 OLED 采用 CzTAZPO 纯薄膜作为发射层制造,可提供出色的**电流效率 (CEmax) 和**外量子效率 (EQEmax),分别为 29.1 cd A-1 和 12.8%。

更比较重要的是,非夹杂着 OLED 从1000 cd m-2 时的 EQE 滚降行缺少不记,仅为 1.6%。兼备小 ΔEST、高光粉致有光量子成品率 (ΦPL) 的 AIDF 发器。

image.png

深圳杏彩体育平台 生物技术是在中国的光電建筑建筑文件厂家直销商,我国能够给予各样基础理论的热延后荧光建筑建筑文件TADF建筑建筑文件,也给予TADF建筑建筑文件的个人定制合并。主链給体/侧基蛋白激酶型共轭配位高聚物PAPTF、PAPCC、PAPTC极具热介导迟荧光的9,10-二氢吖啶共聚物的的设计5H-茚并[1,2-b]吡啶-5-酮(IP)随之出现物,TADF村料D-π-A型结构特征的同分异构体IP-6-PhCzIP-7-PhCzIP-8-PhCzIP-9-PhCzIP-6-TPAIP-7-TPAIP-8-TPAIP-9-TPA咔唑衍生品物2,3,5,6-四咔唑-4-氟苯腈(CyFbCz)依据双苯砜为管理处蛋白激酶单元测试的咔唑类树叶状TADF分子结构4,4'-对(3,6-二叔丁基咔唑)二苯基砜(G1)4,4'-对-3,6-二(3,6-二叔丁基咔唑)咔唑二苯基砜(G2)4,4'-对3,6-二(3,6-二(3,6-二叔丁基咔唑)咔唑)咔唑二苯基砜(G3)基本概念AIE不确定性的TADF黄光分子结构DPS-4PTZ黄光TADF涂料DPS-4PXZ浪漫报错:仅在科技研究这里zhn2022.01.14