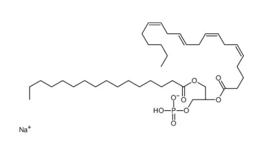
"16:0-20:4 PA" 指的有的是种磷脂酸(Phosphatidic Acid,PA)碳氧分子,这之中分为一种含16个碳氧分子和也没有双键(16:0)的脂质含量酸链,或其它种含20个碳氧分子和4个双键(20:4)的脂质含量酸链。磷脂酸有的是种磷脂类脂质,它是大多数血细胞结构的必要组成成分之1。一些相应的肌肉含量酸酸组和在磷脂酸碳原子中能能具备有相应的用途和生物制品学意义所在。有所差异种类的肌肉含量酸酸链在组织膜的物理上的本质、预警肌肉收缩各类新陈代谢环节中能够起有所差异的效用。16:0-20:4 PA 的肌肉含量酸酸组和表达它以及另是一个供大于求肌肉含量酸酸(16:0)和另是一个角度不供大于求肌肉含量酸酸(20:4),基本上指的是花生米四烯酸(arachidonic acid)。这款相应的磷脂酸会在細胞信息传递、宫颈炎症现象已经许多动物体学的时候中充分调动重点意义,如果芝麻四烯酸都是种前体原子,能够产生一些动物体抗逆性有害物质,这类前茅腺素和白三烯,对細胞的时候和天然免疫现象兼具重点意义。经常用到名 sodium,[(2R)-3-hexadecanoyloxy-2-[(5Z,8Z,11Z,14Z)-icosa-5,8,11,14-tetraenoyl]oxypropyl] hydrogen phosphate英语名 sodium,[(2R)-3-hexadecanoyloxy-2-[(5Z,8Z,11Z,14Z)-icosa-5,8,11,14-tetraenoyl]oxypropyl] hydrogen phosphate日文俗称1-palmitoyl-2-arachidonoyl-sn-glycero-3-phosphate (sodium salt)PAPAPA(16:0/20:4(5Z,8Z,11Z,14Z))1-hexadecanoyl-2--(5Z,8Z,11Z,14Z-eicosatetraenoyl)-sn-glycero-3-phosphate (sodium salt)16:0-20:4 PACAS号 322647-60-9分子结构式 C39H68NaO8P团伙量 718.91600水平 718.45500PSA 132.00000LogP 11.61590再生: 瓶裝生产地:陕西

和谐温馨显示信息:本品仅适合于研发实践!的产品推荐英文:325465-45-0322647-62-1322647-59-6322647-55-2321883-64-1321883-54-9321883-53-827869-47-2