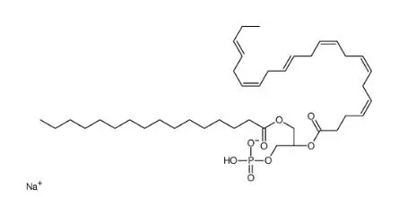
英文名 sodium,[(2R)-2-[(4Z,7Z,10Z,13Z,16Z,19Z)-docosa-4,7,10,13,16,19-hexaenoyl]oxy-3-hexadecanoyloxypropyl] hydrogen phosphate
CAS号 474943-28-7
原子式 C41H68NaO8P
氧分子量 742.93700
质理 742.45500
PSA 132.00000
LogP 11.94810

某些的皮脂酸整合在磷脂酸原子中包括某些的作用和菌物学必要性。有所差异分类的皮脂酸链不错导致体细胞核的本质特征、的信号传导电流和细胞代谢整个过程。在这状态下,16:0-22:6 PA 是因为该磷脂酸包函一家呈现饱满状态皮脂酸链(16:0)和一家位置多不呈现饱满状态皮脂酸链(22:6),通畅指的是二第十二碳六烯酸(docosahexaenoic acid,DHA)。DHA 都是种为重要的的多余脂肪堆积酸,特备是在脑袋和视觉效果系統中树立核心效果。它是ω-3型号多余脂肪堆积酸的一类,对周围面面神经生殖血细胞设备构造的设备构造和功能拥有为重要的影响到,能有效的保护周围面面神经系統的一般功能。因而,16:0-22:6 PA 几率在与周围面面神经系統、生殖血细胞讯号电荷转移和其它物理学学流程涉及的人体生理促销活动中树立独特效果。标签印刷: 成瓶原产地:陕西温磬提示牌:本品仅支持于研究实验设计!食品举荐:Soy PGSoy PESoy PC (20%)Soy PAN-P Tyrosine PAN-P Serine PALiver PEHeart PE