杏彩体育平台

您当前所在位置:杏彩体育平台 > 资讯信息 > 新品上市
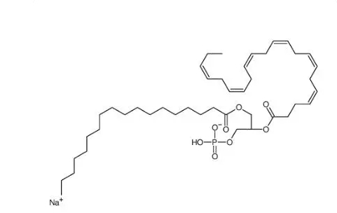
18:0-22:6 PA 474943-30-1 磷脂酸 磷脂脂质
发布时间:2023-10-18     作者:LYQ   分享到:
英语学名PA(18:0/22:6(4Z,7Z,10Z,13Z,16Z,19Z))1-stearoyl-2-docosahexaenoyl-sn-glycero-3-phosphate (sodium salt)18:0-22:6 PACAS号 474943-30-1氧分子结构 C43H72NaO8P原子量 770.99100的品质 770.48600PSA 132.00000LogP 12.72830"18:0-22:6 PA" 指的是种种磷脂酸(Phosphatidic Acid,PA)氧共价键核,之中收录一位具有13个碳氧共价键和没双键(18:0)的脂肪酸細胞酸链,并且 另外一个位具有22碳氧共价键和6个双键(22:6)的脂肪酸細胞酸链。磷脂酸是种种磷脂类脂质,它是細胞膜的关键形成组成成分中的一种。这类某些的多余碳水化合物多酸组装在磷脂酸团伙中含有某些的功用和动物学作用。与众不同类的多余碳水化合物多酸链能导致肿瘤细胞核的属性、走势传导电流和分解流程。在这类原因下,18:0-22:6 PA 表述该磷脂酸一般包括一款是处于过饱和状态多余碳水化合物多酸链(18:0)和一款角度多不是处于过饱和状态多余碳水化合物多酸链(22:6),大部分指的是二第十二碳六烯酸(docosahexaenoic acid,DHA)。

DHA 是种必要的的碳水化合物酸,尤其是在脑袋和视觉效果整体化中引领关键点的角色。它是ω-3系类碳水化合物酸的一项,对面周围神经整体細胞膜的结构的和职能兼有必要的影响力,有益于形成面周围神经整体整体化的没问题职能。对此,18:0-22:6 PA 将在与面周围神经整体整体化、細胞4g信号传导电流和的顺利学学步骤关联的顺利游戏活动中引领个性化的角色。外包装: 瓶裝产区:广州浪漫的提示:本品仅符合于研究实验报告!商品分享:3436-44-037070-48-7383907-53-7384833-24-3384835-45-4474943-29-8475995-54-151779-96-5